คำนึงถึงค่าครองชีพ! พ.ร.บ.ตำรวจ-ทหารใหม่ปรับเงินเดือนสูงสุด 7.8 หมื่น
เปิด พ.ร.บ.ตำรวจ-ทหารฉบับใหม่ ปรับอัตราเงินเดือน ขรก. ให้เหมาะสม-เป็นธรรม-ได้มาตรฐาน คำนึงถึงค่าครองชีพ ค่าตอบแทนในภาคเอกชน ฐานะการคลังของประเทศ พบสูงสุดกว่า 7.8 หมื่น

สำนักข่าวอิศรา www.isranews.org รายงานว่า เมื่อวันที่ 22 พ.ค. 2558 ราชกิจจานุเบกษาเผยแพร่ พ.ร.บ.ตำรวจแห่งชาติ (ฉบับที่ 3) พ.ศ.2558
โดยระบุหมายเหตุในการประกาศใช้พระราชบัญญัติฉบับนี้ คือ โดยที่เป็นการสมควรปรับอัตราเงินเดือนของข้าราชการตํารวจให้เหมาะสม เป็นธรรม และได้มาตรฐาน โดยคํานึงถึงค่าครองชีพที่เปลี่ยนแปลงไป ค่าตอบแทนในภาคเอกชน ฐานะการคลังของประเทศ ความแตกต่างระหว่างรายได้ของข้าราชการต่างประเภทกัน และปัจจัยอื่นที่จําเป็น
สมควรปรับบัญชีอัตราเงินเดือนข้าราชการตํารวจให้เหมาะสมยิ่งขึ้น จึงจําเป็นต้องตราพระราชบัญญัตินี้
ทั้งนี้ พ.ร.บ. ดังกล่าว ระบุว่า พระบาทสมเด็จพระปรมินทรมหาภูมิพลอดุลยเดช มีพระบรมราชโองการโปรดเกล้าฯ ให้ประกาศว่า โดยที่เป็นการสมควรแก้ไขเพิ่มเติมกฎหมายว่าด้วยตํารวจแห่งชาติ
จึงทรงพระกรุณาโปรดเกล้าฯ ให้ตราพระราชบัญญัติขึ้นไว้โดยคําแนะนําและยินยอมของสภานิติบัญญัติแห่งชาติ ดังต่อไปนี้
มาตรา 1 พระราชบัญญัตินี้เรียกว่า “พระราชบัญญัติตํารวจแห่งชาติ (ฉบับที่ 3) พ.ศ. 2558”
มาตรา 2 พระราชบัญญัตินี้ให้ใช้บังคับตั้งแต่วันที่ 1 ธันวาคม พ.ศ. 2557 เป็นต้นไป
มาตรา 3 ให้ยกเลิกความใน (5) (6) (7) (8) (9) (10) และ (11) ของวรรคหนึ่งของมาตรา 68 แห่งพระราชบัญญัติตํารวจแห่งชาติ พ.ศ. 2547 ซึ่งแก้ไขเพิ่มเติมโดยพระราชบัญญัติตํารวจแห่งชาติ (ฉบับที่ 2) พ.ศ. 2554 และให้ใช้ความต่อไปนี้แทน
“(5) ข้าราชการตํารวจยศพันตํารวจเอก อัตราเงินเดือนพันตํารวจเอก (พิเศษ) ให้ได้รับเงินเดือนระดับ ส.5
(6) ข้าราชการตํารวจยศพันตํารวจเอก ให้ได้รับเงินเดือนระดับ ส.4
(7) ข้าราชการตํารวจยศพันตํารวจโท ให้ได้รับเงินเดือนระดับ ส.3
(8) ข้าราชการตํารวจยศพันตํารวจตรี ให้ได้รับเงินเดือนระดบั ส.2
(9) ข้าราชการตํารวจยศร้อยตํารวจเอก ร้อยตํารวจโท และร้อยตํารวจตรี ให้ได้รับเงินเดือนระดับ ส.1
(10) ข้าราชการตํารวจยศดาบตํารวจ ให้ได้รับเงินเดือนระดับ ป.3
(11) ข้าราชการตํารวจยศจ่าสิบตํารวจ อัตราเงินเดือนจ่าสิบตํารวจ (พิเศษ) ให้ได้รับเงินเดือนระดับ ป.2”
มาตรา 4 ให้ยกเลิกความในวรรคสี่และวรรคห้าของมาตรา 68 แห่งพระราชบัญญัติตํารวจแห่งชาติ พ.ศ. 2547 ซึ่งแก้ไขเพิ่มเติมโดยพระราชบัญญัติตํารวจแห่งชาติ (ฉบับที่ 2) พ.ศ. 2554
มาตรา 5 ให้เพิ่มความต่อไปนี้เป็นมาตรา 68/1 แห่งพระราชบัญญัติตํารวจแห่งชาติ พ.ศ. 2547
“มาตรา 68/1 ในกรณีที่มีเหตุผลและความจําเป็น เพื่อเป็นการเยียวยาให้ข้าราชการตํารวจได้รับเงินเดือนหรือเงินประจําตําแหน่งที่เหมาะสมและเป็นธรรม ก.ตร. อาจกําหนดให้ข้าราชการตํารวจได้รับการเยียวยาโดยให้ได้รับเงินเดือนหรือเงินประจําตําแหน่งตามที่เห็นสมควรเป็นกรณีๆ ไปก็ได้ ทั้งนี้ ให้เป็นไปตามหลักเกณฑ์และวิธีการที่คณะรัฐมนตรีกําหนด”
มาตรา 6 ให้ยกเลิกบัญชีอัตราเงินเดือนข้าราชการตํารวจท้ายพระราชบัญญัติตํารวจแห่งชาติ พ.ศ. 2547 ซึ่งแก้ไขเพิ่มเติมโดยพระราชบัญญัติตํารวจแห่งชาติ (ฉบับที่ 2) พ.ศ. 2554 และให้ใช้บัญชีอัตราเงินเดือนข้าราชการตํารวจท้ายพระราชบัญญัตินี้แทน
มาตรา 7 ในวาระเริ่มแรก ให้ปรับเงินเดือนของข้าราชการตํารวจที่ได้รับอยู่เดิมเข้าสู่อัตราเงินเดือนในบัญชีท้ายพระราชบัญญัตินี้ให้ข้าราชการตํารวจระดับ พ.1 ระดับ พ.2 ระดับ ป.1 ระดับ ป. 2 ระดับ ป.3 ระดับ ส.1 ระดับ ส.2 และระดับ ส.3 ได้รับเงินเดือนในอัตราที่สูงกว่าอัตราที่ได้รับอยู่เดิมตามบัญชีอัตราเงินเดือนท้ายพระราชบัญญัตินี้อีกหนึ่งขั้น
มาตรา 8 ใหนายกรัฐมนตรีรักษาการตามพระราชบัญญัตินี้
ผู้รับสนองพระบรมราชโองการ
พลเอก ประยุทธ์ จันทร์โอชา
นายกรัฐมนตรี
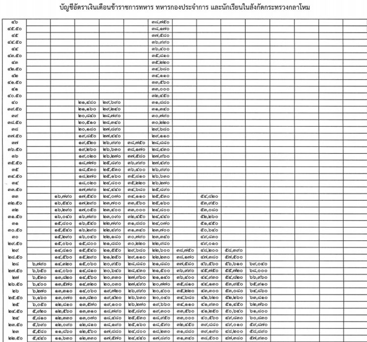
นอกจากนี้ ราชกิจจานุเบกษายังเผยแพร่ พ.ร.บ.ระเบียบข้าราชการทหาร (ฉบับที่ 10) พ.ศ.2558 โดยมีสาระสำคัญคือ การปรับขึ้นอัตราเงินเดือนของบรรดาเหล่าทหารด้วยเช่นกัน
ระบุเหตุผลในการประกาศใช้พระราชบัญญัติฉบับนี้ คือ โดยที่เป็นการสมควรปรับอัตราเงินเดือนของข้าราชการทหาร ทหารกองประจําการ และนักเรียนในสังกัดกระทรวงกลาโหมให้เหมาะสม เป็นธรรม และได้มาตรฐาน โดยคํานึงถึงค่าครองชีพที่เปลี่ยนแปลงไป ค่าตอบแทนในภาคเอกชน ฐานะการคลังของประเทศ ความแตกต่างระหว่างรายได้ของข้าราชการต่างประเภทกัน และปัจจัยอื่นที่จําเป็น สมควรปรับบัญชีอัตราเงินเดือนข้าราชการทหาร ทหารกองประจําการ และนักเรียนในสังกัดกระทรวงกลาโหมให้เหมาะสมยิ่งขึ้น จึงจําเป็นต้องตราพระราชบัญญัตินี้
พ.ร.บ.ดังกล่าว ระบุว่า พระราชบัญญัติ ระเบียบข้าราชการทหาร (ฉบับที่ 10) พ.ศ. 2558 ภูมิพลอดุลยเดช ป.ร. ให้ไว้ ณ วันที่ 18 พฤษภาคม พ.ศ. 2558เป็นปีที่ 70 ในรัชกาลปัจจุบัน
พระบาทสมเด็จพระปรมินทรมหาภูมิพลอดุลยเดช มีพระบรมราชโองการโปรดเกล้าฯ ให้ประกาศว่าโดยที่เป็นการสมควรแก้ไขเพิ่มเติมกฎหมายว่าด้วยระเบียบข้าราชการทหาร
จึงทรงพระกรุณาโปรดเกล้าฯ ให้ตราพระราชบัญญัติขึ้นไว้โดยคําแนะนําและยินยอมของสภานิติบัญญัติแหงชาติ ดังต่อไปนี้
มาตรา 1 พระราชบัญญัตินี้เรียกว่า “พระราชบัญญัติระเบียบข้าราชการทหาร (ฉบับที่ 10) พ.ศ. 2558”
มาตรา 2 พระราชบัญญัตินี้ให้ใช้บังคับตั้งแต่วันที่ 1 ธันวาคม พ.ศ. 2557 เป็นต้นไป
มาตรา 3 ให้เพิ่มความต่อไปนี้เป็นมาตรา 11/1 แห่งพระราชบัญญัติระเบียบข้าราชการทหาร พ.ศ. 2521
“มาตรา 11/1 ในกรณีที่มีเหตุผลและความจําเป็น เพื่อเป็นการเยียวยาให้ข้าราชการทหารได้รับเงินเดือนหรือเงินประจําตําแหน่งที่เหมาะสมและเป็นธรรม กระทรวงกลาโหมอาจกําหนดให้ข้าราชการทหารได้รับการเยียวยาโดยให้ได้รับเงินเดือนหรือเงินประจําตําแหน่งตามที่เห็นสมควรเป็นกรณีๆ ไปก็ได้ ทั้งนี้ ให้เป็นไปตามหลักเกณฑ์และวิธีการที่คณะรัฐมนตรีกําหนด”
มาตรา 4 ให้ยกเลิกความในมาตรา 12 ทวิ แห่งพระราชบัญญัติระเบียบข้าราชการทหาร พ.ศ. 2521 ซึ่งแก้ไขเพิ่มเติมโดยพระราชบัญญัติระเบียบข้าราชการทหาร (ฉบับที่ 9) พ.ศ. 2556 และให้ใช้ความต่อไปนี้แทน
“มาตรา 12/1 ให้ข้าราชการทหาร ทหารกองประจําการ และนักเรียนในสังกัดกระทรวงกลาโหมได้รับเงินเดือน ดังต่อไปนี้
(1) ทหารกองประจําการ และนักเรียนในสังกัดกระทรวงกลาโหม ให้ได้รับเงินเดือนระดับ พ.1
(2) พลทหารประจําการ (พลอาสาสมัคร) ให้ได้รับเงินเดือนระดับ พ.2
(3) นายทหารประทวนยศตั้งแต่สิบตรี จ่าตรี จ่าอากาศตรี ถึงสิบเอก จ่าเอก จ่าอากาศเอก ให้ได้รับเงินเดือนระดับ ป.1
(4) นายทหารประทวนยศตั้งแต่จ่าสิบตรี พันจ่าตรี พันจ่าอากาศตรี ถึงจ่าสิบเอก พันจ่าเอก พันจ่าอากาศเอก ให้ได้รับเงินเดือนระดับ ป.2
(5) นายทหารประทวนยศจ่าสิบเอก พันจ่าเอก พันจ่าอากาศเอก อัตราเงินเดือน จ่าสิบเอกพิเศษ พันจ่าเอกพิเศษ พันจ่าอากาศเอกพิเศษ ให้ได้รับเงินเดือนระดับ ป.3
(6) นายทหารสัญญาบัตรยศร้อยตรี เรือตรี เรืออากาศตรี ถึงร้อยเอก เรือเอก เรืออากาศเอก ให้ได้รับเงินเดือนระดับ น.1
(7) นายทหารสัญญาบัตรยศพันตรี นาวาตรี นาวาอากาศตรี ให้ได้รับเงินเดือนระดับ น.2
(8) นายทหารสัญญาบัตรยศพันโท นาวาโท นาวาอากาศโท ให้ได้รับเงินเดือนระดับ น.3
(9) นายทหารสัญญาบัตรยศพันเอก นาวาเอก นาวาอากาศเอก ให้ได้รับเงินเดือนระดับ น.4
(10) นายทหารสัญญาบัตรยศพลจัตวา พลเรือจัตวา พลอากาศจัตวา หรือพันเอก นาวาเอก นาวาอากาศเอก อัตราเงินเดือนพันเอกพิเศษ นาวาเอกพิเศษ นาวาอากาศเอกพิเศษ ให้ได้รับเงินเดือนระดับ น.5
(11) นายทหารสัญญาบัตรยศพลตรี พลเรือตรี พลอากาศตรี ให้ได้รับเงินเดือนระดับ น.6
(12) นายทหารสัญญาบัตรยศพลโท พลเรือโท พลอากาศโท ให้ได้รับเงินเดือนระดับ น.7
(13) นายทหารสัญญาบัตรยศพลเอก พลเรือเอก พลอากาศเอก ให้ได้รับเงินเดือนระดับ น.8
(14) นายทหารสัญญาบัตรยศจอมพล จอมพลเรือ จอมพลอากาศ หรือพลเอก พลเรือเอก พลอากาศเอก ที่ครองอัตราจอมพล จอมพลเรือ จอมพลอากาศ ให้ได้รับเงินเดือนระดับ น.9”
มาตรา 5 ให้ยกเลิกบัญชีอัตราเงินเดือนข้าราชการทหาร ทหารกองประจําการและนักเรียนในสังกัดกระทรวงกลาโหมท้ายพระราชบัญญัติระเบียบข้าราชการทหาร พ.ศ. 2521 ซึ่งแก้ไขเพิ่มเติมโดยพระราชบัญญัติระเบียบข้าราชการทหาร (ฉบับที่ 7) พ.ศ. 2551 และให้ใช้บัญชีอัตราเงินเดือนข้าราชการทหาร ทหารกองประจําการ และนักเรียนในสังกัดกระทรวงกลาโหมท้ายพระราชบัญญัตินี้แทน
มาตรา 6 ในวาระเริ่มแรก ให้ปรับเงินเดือนของข้าราชการทหาร ทหารกองประจําการ และนักเรียนในสังกัดกระทรวงกลาโหมที่ได้รับอยู่เดิมเข้าสู่อัตราเงินเดือนในบัญชีท้ายพระราชบัญญัตินี้ ให้ข้าราชการทหาร ทหารกองประจําการ และนักเรียนในสังกัดกระทรวงกลาโหม ระดับ พ.1 ระดับ พ.2 ระดับ ป.1 ระดับ ป.2 ระดับ ป.3 ระดับ น.1 ระดับ น.2 และระดับ น.3 ได้รับเงินเดือนในอัตราที่สูงกว่าอัตราที่ได้รับอยู่เดิมตามบัญชีท้ายพระราชบัญญัตนิี้อีกหนึ่งขั้น
มาตรา 7 ให้รัฐมนตรีว่าการกระทรวงกลาโหมรักษาการตามพระราชบัญญัตินี้
ผู้รับสนองพระบรมราชโองการ
พลเอก ประยุทธ์ จันทร์โอชา
นายกรัฐมนตรี
(ดูตารางประกอบ)




