ปรีดิยาธร เทวกุล : แนวทางการคำนวณจำนวน ส.ส.บัญชีรายชื่อ
"...การคำนวณหาจำนวน ส.ส. บัญชีรายชื่อของพรรคการเมืองต่างๆ ที่ประชาชนออกเสียงลงคะแนนให้ในครั้งนี้ไม่ใช่เรื่องยุ่งยากจนเกินไป สามารถใช้ความรู้ทางคณิตศาสตร์พื้นฐานก็สามารถคำนวณจำนวน ส.ส.ที่ถูกต้องตามหลักเกณฑ์ที่กำหนดในรัฐธรรมนูญและในกฎหมายเลือกตั้งได้โดยไม่มีอะไรยุ่งยาก ผมจึงตัดสินใจเขียนบทความสั้นๆ นี้ขึ้นเพื่อให้ท่านผู้ใหญ่ในศาลรัฐธรรมนูญได้รับทราบว่ามีวิธีคิดคำนวณที่ไม่ยุ่งยากจนเกินไปอยู่แล้ว จะได้ไม่ตกเป็นเหยื่อของความพยายามที่จะเลื่อนการประกาศผลเลือกตั้งออกไปในครั้งนี้..."

เมื่อเร็วๆ นี้ กกต. ได้ส่งเรื่องให้ศาลรัฐธรรมนูญพิจารณากำหนดวิธีคำนวณ ส.ส.บัญชีรายชื่อ และมีนักกฎหมายชั้นครูให้ความเห็นว่า หากศาลรัฐธรรมนูญกำหนดได้ไม่ทันวันที่ 9 พฤษภาคม 2562 กกต. ก็จะประกาศผลเลือกตั้งที่รวมถึง ส.ส.บัญชีรายชื่อด้วยไม่ได้ภายในกำหนดตามกฎหมาย ซึ่งอาจมีผลให้การเลือกตั้งครั้งนี้กลายเป็นโมฆะ ผมไม่อยากให้เป็นเช่นนั้นเลย เมื่อเลือกตั้งมาแล้วก็ต้องเดินหน้าต่อไป การคำนวณหาจำนวน ส.ส. บัญชีรายชื่อของพรรคการเมืองต่างๆ ที่ประชาชนออกเสียงลงคะแนนให้ในครั้งนี้ไม่ใช่เรื่องยุ่งยากจนเกินไป สามารถใช้ความรู้ทางคณิตศาสตร์พื้นฐานก็สามารถคำนวณจำนวน ส.ส.ที่ถูกต้องตามหลักเกณฑ์ที่กำหนดในรัฐธรรมนูญและในกฎหมายเลือกตั้งได้โดยไม่มีอะไรยุ่งยาก ผมจึงตัดสินใจเขียนบทความสั้นๆ นี้ขึ้นเพื่อให้ท่านผู้ใหญ่ในศาลรัฐธรรมนูญได้รับทราบว่ามีวิธีคิดคำนวณที่ไม่ยุ่งยากจนเกินไปอยู่แล้ว จะได้ไม่ตกเป็นเหยื่อของความพยายามที่จะเลื่อนการประกาศผลเลือกตั้งออกไปในครั้งนี้
@ การคำนวณหาจำนวนส.ส.บัญชีรายชื่อของแต่ละพรรคทำได้สองแนวทาง
แนวทางที่หนึ่ง ยึดตามหลักการของรัฐธรรมนูญฉบับปัจจุบันที่กำหนดให้ใช้คะแนนเสียงทุกคะแนนที่ประชาชนออกเสียงเลือกตั้งให้พรรคการเมืองทุกพรรค ในการคำนวณหาจำนวน ส.ส.รวมที่แต่ละพรรคพึงจะได้ โดยนำคะแนนเสียงเลือกตั้งที่แต่ละพรรคได้รับรวมทุกเสียง เทียบเคียงกับ คะแนนเสียงรวมของทุกพรรครวมกันคำนวณหาจำนวน ส.ส.รวมที่ถูกต้องของแต่ละพรรครวมทั้งหมดเป็น 500 คน แล้วให้นำจำนวน ส.ส.เขตที่พรรคนั้นได้รับเลือกมาหักลบออกก็จะได้จำนวน ส.ส.บัญชีรายชื่อของแต่ละพรรคที่ถูกต้อง
แนวทางที่สอง ยึดตามหลักการของรัฐธรรมนูญฉบับปัจจุบันที่ต้องการใช้ประโยชน์จากคะแนนเสียงทุกคะแนนให้ทั่วถึง ซึ่งกำหนดว่าคะแนนเสียงใดที่ใช้รองรับ ส.ส.เขตแล้วจะไม่สามารถไปใช้รองรับ ส.ส.บัญชีรายชื่อได้อีก โดยคำนวณหาจำนวนคะแนนเสียงที่ใช้รองรับ ส.ส.เขตที่ได้รับเลือกของแต่ละพรรค แล้วนำจำนวนนั้นไปหักออกจากคะแนนเสียงรวมที่พรรคนั้นได้รับเลือกมา คะแนนส่วนที่เหลือคือ คะแนนที่จะนำไปใช้คำนวณ ส.ส.บัญชีรายชื่อของแต่ละพรรค โดยเทียบเคียงกับคะแนนส่วนที่เหลือของทุกพรรครวมกัน ได้จำนวน ส.ส.บัญชีรายชื่อที่ถูกต้องรวมกันเป็นจำนวน 150 คน
ปรากฎว่าการคำนวณตามแนวทางที่ 1 และแนวทางที่ 2 ได้จำนวน ส.ส.บัญชีรายชื่อของทุกพรรคตรงกันทั้งสองแนวทางดังจะอธิบายโดยละเอียดดังนี้
การคำนวณตามแนวทางที่ 1 ปรากฎอยู่ในตารางที่ 1 ที่แนบ เริ่มโดยการนำคะแนนเสียงรวมทั้งหมดหารด้วย 500 ได้คะแนนเฉลี่ยต่อ ส.ส.หนึ่งคนเบื้องต้น เท่ากับ 71,065.284 เพื่อใช้ในการคำนวณจำนวน ส.ส.พึงมีเบื้องต้น ดังผลลัพธ์ที่ปรากฎในตารางที่ 1 คอลัมน์ 4 จำนวน ส.ส.พึงมีเบื้องต้นที่คำนวณได้นี้มีน้อยกว่า 500 คน เพราะส่วนที่เป็นเศษจากการหารไม่สามารถนับเป็นจำนวนเต็มคนได้ เพราะจะผิดกฎหมายตามข้อห้ามในมาตรา 91(2) ขั้นต่อไปก็คือ นำจำนวน ส.ส.เขตที่แต่ละพรรคได้รับเลือกเทียบกับจำนวน ส.ส.พึงมีเบื้องต้นของพรรคนั้น พรรคใดที่ได้รับเลือก ส.ส.เขตมากกว่าจำนวน ส.ส.พึงมีเบื้องต้นที่คำนวณได้ก็ให้ใช้จำนวน ส.ส.เขตทั้งหมดเป็นจำนวน ส.ส.ที่ถูกต้องของพรรคนั้น ในตัวอย่างนี้ พรรคเพื่อไทยเป็นพรรคเดียวที่ได้รับเลือก ส.ส.เขตมากกว่าจำนวน ส.ส.พึงมีเบื้องต้น โดยได้รับเลือก ส.ส.เขตถึง 137 คน เมื่อใช้ตัวเลข ส.ส.เขตของพรรคเพื่อไทยแทนจำนวน ส.ส.พึงมีเบื้องต้น และนำไปรวมกับจำนวน ส.ส.พึงมีเบื้องต้นของพรรคอื่นทั้งหมดแล้ว ได้จำนวน ส.ส.รวมเบื้องต้นเพิ่มขึ้นเป็น 502 คน (ดังที่แสดงในคอลัมน์ 5) ซึ่งเกินกว่าจำนวนที่กฎหมายกำหนด ดังนั้นจึงจำเป็นต้องปรับตัวเลขเฉลี่ยต่อ ส.ส.หนึ่งคนที่ใช้ในการคำนวณจำนวน ส.ส.ที่ถูกต้องครบ 500 คนพอดีไม่ขาดไม่เกิน
จากการทยอยเทียบเคียงกับข้อมูลคะแนนเสียงของทุกพรรค คะแนนเสียงเฉลี่ยต่อ ส.ส.หนึ่งคนที่สมดุล ที่ทำให้จำนวน ส.ส. ที่ถูกต้องรวมกันเป็น 500 คนก็คือ 71,400 เมื่อนำคะแนนเฉลี่ย 71,400 ไปใช้คำนวณจำนวน ส.ส.พึงมีที่ถูกต้องของทุกพรรค รวมกับของพรรคเพื่อไทยที่ใช้จำนวน 137 ตามเดิมแล้ว ได้จำนวน ส.ส. ครบ 500 คนพอดี และไม่มีพรรคใดมีจำนวน ส.ส. เกินกว่าจำนวน ส.ส.พึงมี ตามที่ห้ามไว้ ในมาตรา 91(2) เลย ดังรายละเอียดที่ปรากฏในคอลัมน์ที่ 6 และเมื่อนำจำนวน ส.ส.เขตที่แต่ละพรรคได้รับเลือกมาหักออกแล้ว ก็ได้จำนวนส.ส.บัญชีรายชื่อที่ถูกต้องของแต่ละพรรคตามต้องการ (ดังแสดงในคอลัมน์ 7 )
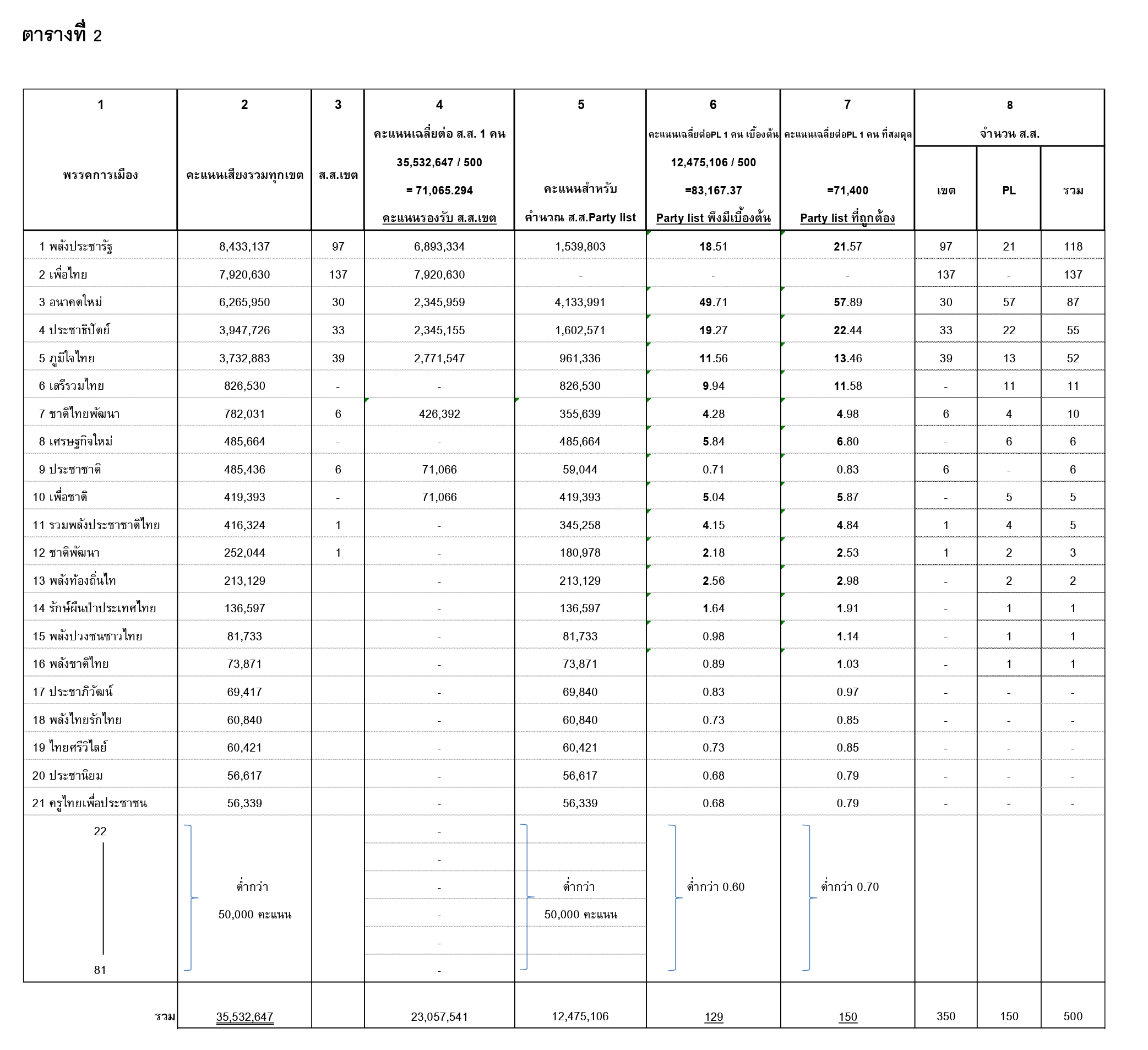
การคำนวณตามแนวทางที่ 2 ปรากฎอยู่ในตาราง 2 ที่แนบ เริ่มโดยการใช้คะแนนเฉลี่ยต่อ ส.ส.หนึ่งคนเบื้องต้น คำนวณหาจำนวนคะแนนเสียงที่ใช้รองรับจำนวน ส.ส.เขตที่แต่ละพรรคได้รับเลือก (ตารางที่ 2 คอลัมน์ 4) แล้วนำไปหักจากคะแนนเสียงทั้งหมดของแต่ละพรรค ได้เป็นคะแนนเสียงสำหรับใช้รองรับ ส.ส.บัญชีรายชื่อ (ตารางที่ 2 คอลัมน์ 5) ขั้นต่อไปนำยอดรวมคะแนนที่เหลือสำหรับรองรับบัญชีรายชื่อของทุกพรรครวมกันหารด้วย 150 ได้คะแนนเฉลี่ยต่อ ส.ส.บัญชีรายชื่อ 1 คนเบื้องต้น เท่ากับ 83,167.37 เพื่อใช้คำนวณ ส.ส.บัญชีรายชื่อพึงมีเบื้องต้น ได้ผลดังปรากฎในตารางที่ 2 คอลัมน์ 6 ซึ่งแสดงยอด ส.ส.พึงมีเบื้องต้นรวมกันน้อยกว่า 150 คน เพราะส่วนที่เป็นเศษจากการหารไม่สามารถนับเป็นจำนวนเต็มคนได้เพราะจะผิดกฎหมายตามข้อห้ามในมาตรา 91(2) ดังนั้นจึงจำเป็นต้องปรับตัวเลขเฉลี่ยต่อ ส.ส.บัญชีรายชื่อหนึ่งคนที่ใช้ในคำนวณจำนวน ส.ส.บัญชีรายชื่อที่ถูกต้องให้ได้ครบ 150 คนพอดีไม่ขาดไม่เกิน
จากการทยอยเทียบเคียงข้อมูลคะแนนเสียงของทุกพรรค คะแนนเสียงเฉลี่ยต่อ ส.ส.บัญชีรายชื่อหนึ่งคนที่สมดุล ที่ทำให้จำนวน ส.ส.บัญชีรายชื่อที่ถูกต้องรวมกันเป็น 150 คนก็คือ 71,400 เมื่อนำคะแนนเฉลี่ยต่อคน 71,400 ไปใช้คำนวณก็ได้จำนวน ส.ส.บัญชีรายชื่อที่ถูกต้อง ของทุกพรรครวมทั้งหมด ครบ 150 คนพอดี (ดังแสดงในคอลัมน์ 7) คอลัมน์ 8 สรุปรวมยอด ส.ส.ของทุกพรรค ซึ่งตรงกับผลลัพธ์ที่ได้จากการคำนวณตามแนวทางที่ 1 ทุกประการ
ผมหวังว่าบทความนี้จะเป็นประโยชน์ต่อท่านผู้ใหญ่ในศาลรัฐธรรมนูญในการพิจารณาเรื่องที่ กกต.ส่งมา หรือ อาจทำให้ กกต. เห็นได้เองถึงแนวทางที่จะใช้ในการคำนวณจำนวน ส.ส.บัญชีของแต่ละพรรคโดยไม่ต้องไปรบกวนศาลรัฐธรรมนูญในเรื่องนี้
# กดคลิก ติดตาม ส่งแชร์ข่าวอิศรา ได้ที่นี่ https://www.facebook.com/isranewsfanpage/
