
ยื่น ‘ป.ป.ช.’ ตรวจสอบการปฏิบัติหน้าที่ ‘นายกเทศมนตรีตำบลบัลลังก์’ ปมเงินกู้ ‘สถาบันการเงินชุมชนตำบลบัลลังก์’ 45 ล้าน หลัง กรรมการฯกองทุนหมู่บ้าน 16 แห่ง ที่โอนเงินให้ ‘สถาบันการเงินบริหารฯ’ ทยอยถูก ‘แบงก์ออมสิน’ ฟ้อง ขณะที่้เจ้าตัวยันการจัดตั้งสถาบันฯ ไม่ได้ทำตามลำพัง-ประชุมร่วมกันหลายรอบ ย้ำไม่ได้ยุ่งเกี่ยวการบริหารตั้งแต่ปลายปี 2555
...........................
สำนักข่าวอิศรา (www.isranews.org) รายงานว่า เมื่อสัปดาห์ที่ผ่านมา น.ส.ชุติมา สีดาเสถียร ผู้ประสานงานกองทุนหมู่บ้านใน ต.บัลลังก์ อ.โนนไทย จ.นครราชสีมา เข้ายื่นหนังสือถึงคณะกรรมการป้องกันและปราบปรามการทุจริตแห่งชาติ (ป.ป.ช.) เพื่อขอให้ตรวจสอบการปฏิบัติหน้าที่ของ ร.ต.ฐนนท์ธรณ์ กวีกิจรัตนา นายกเทศมนตรีตำบลบัลลังก์คนปัจจุบัน เมื่อครั้งดำรงตำแหน่งประธานสถาบันการเงินชุมชนตำบลบัลลังก์ กรณีการบริหารเงินของสถาบันการเงินชุมชนฯ
“เจ้าหน้าที่ข้าราชการทางการเมืองนายกเทศมนตรี ผู้ใหญ่บ้าน ผู้จัดการธนาคารออมสิน และข้าราชที่เกี่ยวข้อง ใช้ตำแหน่งทางข้าราชการ ตำแหน่งข้าราชการฝ่ายปกครอง ข้าราชการการเมือง ในการสร้างความเชื่อถือและจัดตั้งสถาบันการเงินชุมชนตำบลบัลลังก์ เพื่อแสวงหาผลประโยชน์จากคณะกรรมการกองทุนหมู่บ้านและสมาชิกชาวบ้านในตำบลบัลลังก์หรือไม่อย่างไร” หนังสือร้องเรียนของ น.ส.ชุติมา ที่ยื่นต่อ ป.ป.ช. ระบุ
น.ส.ชุติมา กล่าวว่า เมื่อประมาณปี 2555 ร.ต.ฐนนท์ธรณ์ ร่วมกับผู้จัดการธนาคารออมสิน สาขาโนนไทย ในขณะนั้น ชักชวนให้คณะกรรมการกองทุนหมู่บ้าน 19 แห่ง ใน ต.บัลลังก์ อ.โนนไทย จ.นครราชสีมา ร่วมกันจัดตั้ง ‘สถาบันการเงินชุมชนตำบลบัลลังก์’ โดยมีแนวทางว่าให้กองทุนหมู่บ้านแต่ละแห่ง นำเงินมาลงขันในสถาบันการเงินชุมชนตำบลบัลลังก์ และให้สถาบันการเงินชุมชนตำบลบัลลังก์เป็นผู้บริหารเงินดังกล่าว
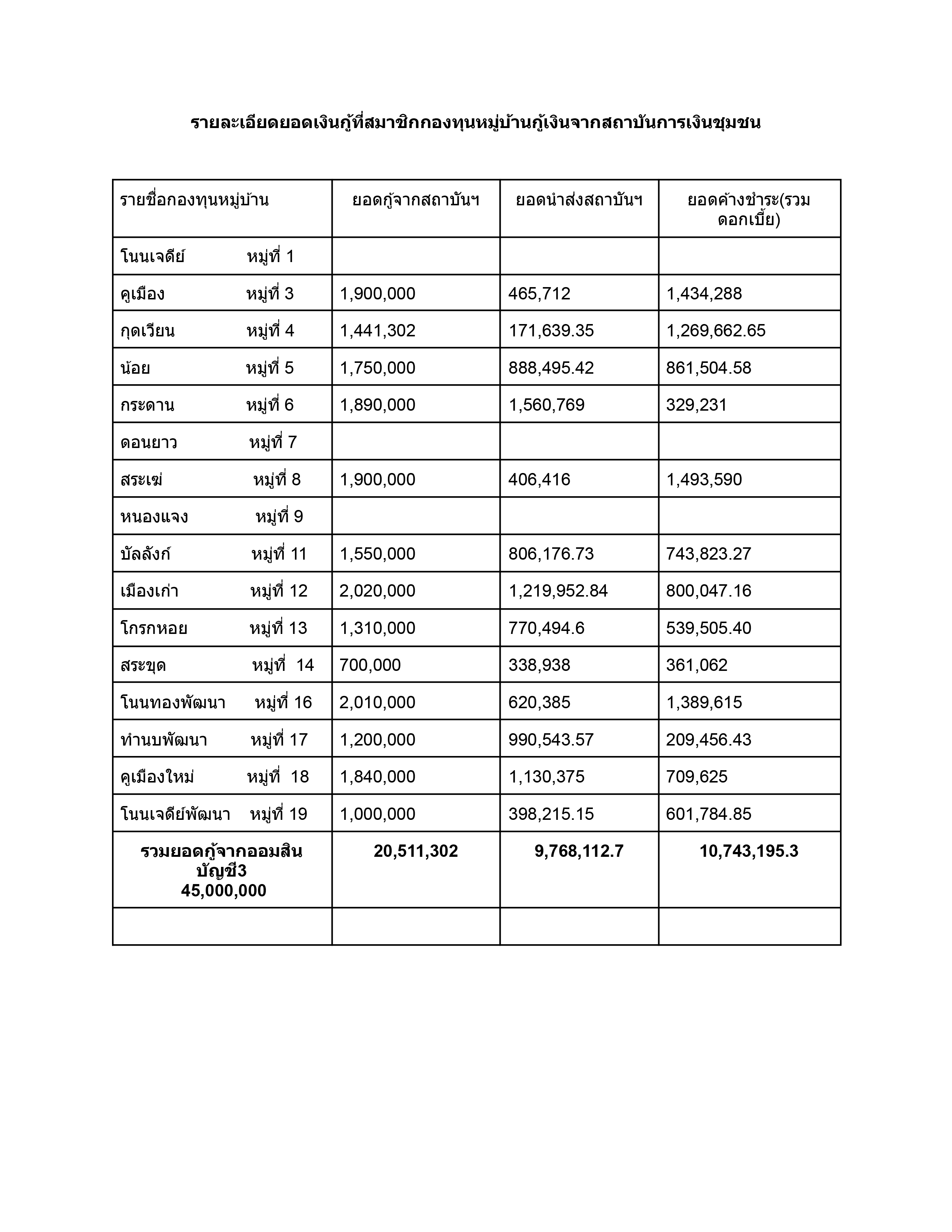
ต่อมาในปี 2557 มีกองทุนหมู่บ้าน 16 แห่ง ได้รับอนุมัติให้เบิกเงินกู้เกินบัญชี (บัญชี 3) จากธนาคารออมสิน และโอนเงินดังกล่าวไปให้สถาบันการเงินชุมชนตำบลบัลลังก์บริหาร เป็นเงินรวม 45.4 ล้านบาท แต่ปรากฏว่าหลังจากผ่านไป 4 ปี หรือประมาณปี 2561 กรรมการกองทุนหมู่บ้านทั้ง 16 แห่ง ในฐานะผู้ลงนามค้ำประกันเงินกู้ ทยอยถูกธนาคารออมสินฟ้องร้องดำเนินคดี เนื่องจากกองทุนหมู่บ้านฯไม่ได้ชำระหนี้เงินกู้ตามสัญญากู้เงินบัญชี 3 เป็นเงินรวม 10.7 ล้านบาท


นอกจากนี้ จากการที่กรรมการกองทุนหมู่บ้านได้เข้าไปสอบถามชาวบ้านที่กู้ยืมเงินจากสถาบันการเงินชุมชนตำบลบัลลังก์ ได้รับคำตอบว่าชาวบ้าน 90% ได้นำเงินกู้ไปชำระคืนให้สถาบันการเงินชุมชนตำบลบัลลังก์แล้ว ทำให้กรรมการกองทุนฯ เกิดข้อสงสัยว่าเหตุใดเงินที่ชาวบ้านนำไปชำระหนี้สถาบันการเงินชุมชนตำบลบัลลังก์นั้น จึงไม่ได้ถูกนำไปชำระคืนหนี้ให้กับธนาคารออมสินทั้งหมด จนทำให้กรรมการกองทุนหมู่บ้านถูกธนาคารออมสินฟ้องร้อง
น.ส.ชุติมา กล่าวต่อว่า ในระหว่างที่กรรมการกองทุนหมู่บ้านแต่ละแห่งกำลังติดตามว่า เงินกู้ดังกล่าวหายไปไหน ปรากฏว่ามีการคนบางกลุ่มดข้าไปเกลี้ยกล่อมให้คณะกรรมการกองทุนหมู่บ้านฯ เซ็นยินยอมรับสภาพหนี้ไปก่อน แล้วบอกว่าจะหาทางช่วยเหลือในภายหลัง ส่งผลให้กรรมการของกองทุนหมู่บ้าน 8 แห่ง เซ็นยินยอมรับสภาพหนี้แทนกองทุนหมู่บ้าน ทั้งๆที่กรรมการเหล่านี้มีความเสี่ยงที่จะถูกยึดทรัพย์และกลายเป็นบุคคลล้มละลายในอนาคต
ส่วนกรรมการกองทุนหมู่บ้านอีก 8 แห่ง ที่ไม่เซ็นยินยอมรับสภาพหนี้ดังกล่าว ขณะนี้ถูกธนาคารออมสินทยอยฟ้องร้องดำเนินคดี และในจำนวนนี้มีคณะกรรมการฯ 3 กองทุนฯ อยู่ระหว่างต่อสู้คดีในชั้นศาล และเมื่อวันที่ 10 มิ.ย.ที่ผ่านมา ทาง อ.โนนไทย ได้ทำหนังสือเชิญกรรมการกองทุนหมู่บ้านฯที่ได้รับความเดือดร้อนจากกรณีการนำเงินกองทุนหมู่บ้านฯไปให้สถาบันการเงินชุมชนตำบลบัลลังก์บริหารจนเกิดความเสียหาย เข้าร่วมประชุมเพื่อให้ข้อมูลเพิ่มเติมในเรื่องนี้ด้วย
น.ส.ชุติมา ระบุด้วยว่า จากการตรวจสอบพบว่ากรณีที่ธนาคารออมสิน สาขาโนนไทย อนุมัติวงเงินกู้เกินบัญชี (บัญชี 3) ให้กับกองทุนหมู่บ้าน 16 แห่ง ก่อนจะโอนเงินไปให้สถาบันการเงินชุมชนตำบลบัลลังก์บริหาร นั้น ปรากฏข้อเท็จจริงว่า ธนาคารออมสิน สาขาโนนไทย ไม่ได้ปฏิบัติตามแนวทางการวิเคราะห์สินเชื่อให้กับกองทุนหมู่บ้านฯ เช่น กองทุนหมู่บ้านฯไม่ได้มีการจัดประชาคมในหมู่บ้านก่อนขอเพิ่มวงเงิน เป็นต้น
(อำเภอโนนไทย หารือกับกรรมการกองทุนหมู่บ้านฯที่ได้รับความเดือดร้อนจากกรณีการโอนเงินไปให้สถาบันการเงินชุมชนตำบลบัลลังก์ เมื่อวันที่ 10 มิ.ย.2565)
(สมาคมนักกฎหมายคุ้มครองสิทธิและสิ่งแวดล้อม (LEPA) ให้ความรู้กับชาวบ้านใน ต.บัลลังก์ อ.โนนไทย จ.นครราชสีมา เกี่ยวกับปัญหากองทุนหมู่บ้านและสถาบันเงินชุมชนตำบลบัลลังก์ เมื่อเดือน เม.ย.2565)
ด้าน ร.ต.ฐนนท์ธรณ์ กวีกิจรัตนา นายกเทศมนตรีตำบลบัลลังก์ อ.โนนไทย จ.นครราชสีมา ในฐานะอดีตประธานสถาบันการเงินชุมชนตำบลบัลลังก์ คนที่ 1 ให้สัมภาษณ์กับสำนักข่าวอิศราว่า ในช่วงปลายปี 2554 กรรมการกองทุนหมู่บ้านหลายแห่งใน ต.บัลลังก์ เสนอแนวคิดว่า กองทุนหมู่บ้านฯควรรวมตัวกันจัดตั้งสถาบันการเงินชุมชนตำบลบัลลังก์ เพื่อเป็นอีกช่องทางหนึ่งในการกู้เงินของชาวบ้าน และแก้ปัญหาหนี้นอกระบบไปในตัว
ต่อมากรรมการกองทุนหมู่บ้านใน ต.บัลลังก์ ประชุมร่วมกันเพื่อผลักดันการจัดตั้งสถาบันการเงินชุมชนฯ โดยมีธนาคารออมสินเป็นพี่เลี้ยง และมีสถาบันการเงินชุมชนตำบลสำโรง อ.โนนไทย เป็นต้นแบบ จนกระทั่งในเดือน ก.พ.2555 กองทุนหมู่บ้าน 16 แห่ง ได้ร่วมกันจัดตั้งสถาบันการเงินชุมชนตำบลบัลลังก์ และมีมติให้ตนทำหน้าที่เป็นประธานสถาบันการเงินชุมชนตำบลบัลลังก์คนแรก โดยมีประธานของกองทุนหมู่บ้านแต่ละแห่งเข้ามาเป็นกรรมการ
“มีการประชุมฯ และที่ประชุมมติให้กองทุนหมู่บ้านกู้เงินจากธนาคารออมสินหมู่บ้านละ 2-3 ล้านบาท เพื่อนำมาให้สถาบันการเงินชุมชนตำบลบัลลังก์ปล่อยกู้ โดยคณะกรรมการของสถาบันฯจะต้องร่วมกันรับผิดชอบในการเก็บเงินแล้วส่งคืนธนาคารออมสิน และเมื่อได้รับอนุมัติเงินจากธนาคารออมสินเมื่อเดือน ก.พ.2555 แล้ว เงินได้ถูกปล่อยไปในหมู่บ้านต่างๆ โดยมีสถาบันการเงินชุมชุนเป็นตัวเชื่อมประสาน” ร.ต.ฐนนท์ธรณ์ กล่าว
อย่างไรก็ตาม ต่อมาในช่วงปลายปี 2555 ตนได้แจ้งที่ประชุมสถาบันการเงินชุมชุมฯ ว่า ขอลาออกจากตำแหน่งประธานสถาบันฯ เพื่อไปลงรับสมัครเลือกตั้งนายกเทศบาลตำบลบัลลังก์ และเมื่อได้รับเลือกตั้งเป็นนายกเทศมนตรีตำบลบัลลังก์แล้ว ตนก็ไม่ได้สามารถเข้ามาดำเนินการใดๆที่เกี่ยวกับสถาบันการเงินชุมชนตำบลบัลลังก์ได้อีก จึงไม่ทราบว่าการบริหารจัดการเงินของสถาบันการเงินชุมชนตำบลบัลลังก์เป็นอย่างไร
ร.ต.ฐนนท์ธรณ์ กล่าวว่า แม้ว่าจะลาออกจากตำแหน่งประธานสถาบันการเงินชุมชนตำบลบัลลังก์แล้ว ตนได้ติดตามสอบถามเกี่ยวกับสถาบันการเงินชุมชนตำบลบัลลังก์เป็นระยะ ก็รับทราบว่าในปี 2557 สถาบันการเงินชุมชนฯเริ่มมีปัญหาว่าสมาชิกที่กู้เงินไปไม่สามารถส่งคืนเงินกู้ได้ เพราะราคาพืชผลทางการเกษตรไม่ดี และผลผลิตได้รับเสียหายจากภัยแล้ง จึงส่งคืนเงินต้นไม่ได้ และส่งได้แต่ดอกเบี้ยเท่านั้น
ต่อมาในปี 2557 กองทุนหมู่บ้านทั้ง 16 แห่ง จึงได้ขอกู้เงินเบิกเกินบัญชี (บัญชี 3) จากธนาคารออมสิน เพื่อเอาให้สถาบันการเงินชุมชนตำบลบัลลังก์บริหารเพิ่มเติม และหลังจากนั้นในปี 2561 ตนได้รับทราบข่าวว่า ธนาคารออมสินเริ่มมาฟ้องกรรมการกองทุนหมู่บ้านบางแห่ง เพราะไม่ได้นำเงินกู้ไปคืนธนาคาร
“หลังจากเข้ารับตำแหน่งนายกเทศมนตรีตำบลบัลลังก์แล้ว ผมก็ไม่รู้ว่าอะไรเป็นอะไรแล้ว เพราะพ้นหน้าที่ไปแล้ว และมาทราบในภายหลังว่า มีการฟ้องร้องอะไรกันต่างๆ เมื่อผมไปสอบถามประธานสถาบันการเงินชุมชนฯคนถัดมา เขาก็บอกว่า มีการนำเงินไปอุดหมู่บ้านนั้น ไปอุดหมู่บ้านนี้ และเงินบางส่วนได้นำไปลงทุน รวมทั้งนำไปตัดดอกเบี้ยของธนาคารออมสินด้วย และแม้ว่าผมจะเป็นคนชักชวนให้จัดตั้งสถาบันการเงินชุมชนฯ แต่ผมไม่ได้ทำตามลำพัง เพราะมีธนาคารมาเป็นผู้พี่เลี้ยง และเราก็ทำตามระเบียบ มีการพาไปดูงานสถาบันการเงินชุมชนต้นแบบ” ร.ต.ฐนนท์ธรณ์กล่าว
ร.ต.ฐนนท์ธรณ์ ระบุว่า ในฐานะนายกเทศมนตรีตำบลบัลลังก์ ตนเห็นว่า สิ่งที่ต้องดำเนินการตอนนี้ คือ การแก้ปัญหาของสถาบันการเงินชุมชนตำบลบัลลังก์ และแก้ปัญหาให้กับกรรมการกองทุนหมู่บ้านที่กำลังถูกธนาคารออมสินฟ้องร้องอยู่ โดยเฉพาะการหาวิธีนำเงินต้นและดอกเบี้ยที่ค้างอยู่ 10 ล้านบาท ไปคืนธนาคารออมสินให้ได้ นอกจากนี้ ตนไม่อยากให้เรื่องนี้ไปเป็นประเด็นทางการเมืองเพื่อโจมตีกัน
ร.ต.ฐนนท์ธรณ์ กล่าวด้วยว่า ส่วนกรณีที่มีลายเซ็นของตน ซึ่งปรากฏว่าเป็นการลงนามในฐานะประธานสถาบันการเงินชุมชนตำบลบัลลังก์ เมื่อปี 2564 นั้น ตนไม่ทราบเรื่องนี้ เพราะตอนที่มีคนนำเอกสารมาให้เซ็นในตอนนั้น เป็นการเซ็นกระดาษเปล่า และเมื่อมาพบเอกสารในภายหลังก็พบว่ามีการแก้ไขวันที่กันมั่วไปหมด จึงไม่ทราบว่าคนที่นำเอกสารมาให้เซ็นมีวัตถุประสงค์อะไร
นอกจากนี้ กรณีที่ปรากฏว่ามีการโอนเงินจากเข้ามาในบัญชีของตนเอง 2 ล้านบาท ในช่วงปี 2557 นั้น เป็นกรณีที่ตนเองได้กู้เงินจากสถาบันการเงินชุมชนตำบลบัลลังก์ และตนก็ชำระหนี้คืนทั้งหมดแล้ว
“ผมทราบว่า เมื่อสัปดาห์ที่ผ่านมา มีกระบวนการไปร้องหน่วยงานนั้น หน่วยงานนี้ ให้มาตรวจสอบผม ซึ่งผมคิดว่าน่าจะเป็นเรื่องการเมืองในท้องถิ่น เพราะฝ่ายตรงข้ามต้องการทำให้ผมมีมลทิน และยังมีการร่วมมือกับกรรมการกองทุนบางแห่งฟ้องผมว่ายักยอกทรัพย์ ทั้งๆที่ผมไม่ได้เกี่ยวข้องกับสถาบันการเงินชุมชนตำบลบัลลังก์ มาตั้งแต่ปลายปี 2555 แล้ว และถ้าจะเกี่ยวข้อง ก็เป็นการเกี่ยวข้องในฐานะผู้กู้ยืมเงินคนหนึ่งเท่านั้น” ร.ต.ฐนนท์ธรณ์กล่าว



Isranews Agency | สำนักข่าวอิศรา