
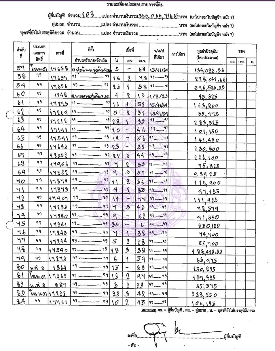
ป.ป.ช.เปิดทรัพย์สินผู้ดำรงตำแหน่งระดับสูง 'สุรวุฒิ เชิดชัย' กก.บริษัท รถไฟฟ้า รฟท. จำกัด ลูก 'เจ๊เกียว' มีทรัพย์สินกว่า 447 ล. ที่ดิน 208 แปลง กว่า 1,900 ไร่ เงินลงทุนกว่า 64 ล.
สำนักข่าวอิศรา (www.isranews.org) รายงานว่า เมื่อวันที่ 15 พ.ค. 2567 สำนักงานคณะกรรมการการป้องกันและปราบการทุจริตแห่งชาติ (ป.ป.ช.) เปิดเผยบัญชีแสดงรายการทรัพย์สินและหนี้สินของผู้ดำรงตำหน่งระดับสูง ราย นายสุรวุฒิ เชิดชัย บุตรชายของนางสุจินดา เชิดชัย หรือเจ๊เกียว เจ้าของกิจการอู่ต่อรถทัวร์ กรณีเข้ารับตำแหน่ง กรรมการบริษัท รถไฟฟ้า รฟท. จำกัด เมื่อวันที่ 15 ก.พ. 2567
โดย นายสุรวุฒิ เชิดชัย และบุตรทั้ง 4 ราย แจ้งมีทรัพย์สิน ดังนี้
เงินฝาก 9 บัญชี รวมมูลค่า 1,056,338.11 บาท
เงินลงทุน 4 บริษัท ประกอบด้วย บริษัท เชิดชัย คอร์ปอเรชั่น จำกัด, บริษัทดากานดา เอ็กซ์เพรส จำกัด, บริษัท เชิดชัยวรรณ จำกัด และบริษัท ทริปเปิ้ล ซี พลัส แอนด์สตีล จำกัด รวมมูลค่า 64,094,000 บาท
ที่ดินจำนวน 208 แปลง เนื้อที่รวมประมาณ 1,900 ไร่ โดยที่ดินเกือบทั้งหมดอยู่ในจังหวัดนครราชสีมา รวมมูลค่า 366,066,716.55 บาท
โรงเรือนและสิ่งปลูกสร้าง ประกอบด้วย บ้าน 2 หลัง ในอ.เมือง จ.นครราชสีมา รวมมูลค่า 12,000,000 บาท
ยานพาหนะ รถยนต์ 10 คัน รวมมูลค่า 1,190,000 บาท
หนี้สิน เงินกู้จากธนาคาร 2 บัญชี รวมมูลค่า 3,511,315.89 บาท
รายจ่ายต่อปี 4,693,200 บาท แบ่งเป็นค่าอุปโภคบริโภค 2,400,000 บาท ค่างวดอสังหาริมทรัพย์ 2,293,200 บาท
ส่วนบุตรที่ยังไม่บรรลุนิติภาวะ แจ้งมีทรัพย์สินประกอบด้วย เงินฝาก 9 บัญชี รวมมูลค่า 244,002.66 บาท เงินลงทุนในบริษัท เชิดชัย คอร์ปอเรชั่น จำกัด มูลค่า 5,000 บาท อาคารชุด ในอ.บางพลี จ.สมุทรปราการ มูลค่า 4,900,000 บาท และมีรายจ่ายต่อปี คือ ค่าอุปโภคบริโภค 400,000 บาท
ทั้งนี้สำนักข่าวอิศรารายงานว่า ในการเปิดเผยบัญชีทรัพย์สินของ นายสุรวุฒิ มีเอกสารที่แสดงผ่านเว็บไซต์ asset.nacc.go.th ไม่ครบ ขาดหน้ารายได้ต่อปี และหน้าข้อมูลสรุปรายการทรัพย์สินและหนี้สิน








Isranews Agency | สำนักข่าวอิศรา