
เผยผลคะแนนคุณธรรมและความโปร่งใส ป.ป.ช.ส่วนกลาง-ภาค-จังหวัด รวม 86 แห่ง ส่วนใหญ่ฉลุย มีแค่ 4 แห่งไม่ผ่านเกณฑ์ ‘อุดรธานี-เชียงใหม่-พิษณุโลก-ยะลา’ มี 5 แห่งได้เกิน 95 คะแนน ‘สิงห์บุรี-อ่างทอง-เลย-ลำพูน-กระบี่’
.............................
นอกเหนือจากผลการประเมินคุณธรรมและความโปร่งในการดำเนินงานของหน่วยงานภาครัฐ (ITA) ประจำปีงบประมาณ พ.ศ. 2563 ในส่วนของหน่วยงานของรัฐจำนวน 8,303 แห่ง ที่ได้คะแนนเฉลี่ย 67.90 คะแนน หรือเกรด C กันไปแล้วนั้น (อ่านประกอบ : ใครเป็นใคร? คะแนน ITA ปี 63 หน่วยงานรัฐ 7.2 พันแห่ง‘สอบตก’ 3 เหล่าทัพลิ่ว-ตร.แห้ว)
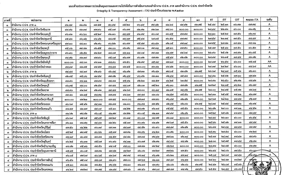
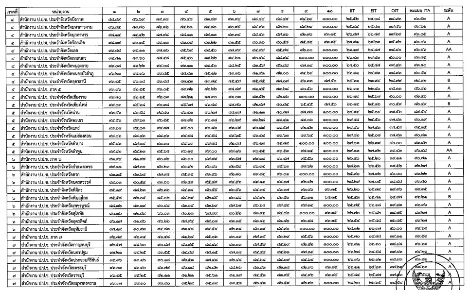
สำนักข่าวอิศรา (www.isranews.org) รายงานว่า เมื่อวันที่ 7 ต.ค. 2563 ที่ผ่านมา สำนักประเมินคุณธรรมและความโปร่งใส สำนักงานคณะกรรมการป้องกันและปราบปรามการทุจริตแห่งชาติ (ป.ป.ช.) รายงานผลการประเมินคะแนน ITA ของหน่วยงานภายในสำนักงาน ป.ป.ช. ประเภท สำนักงาน ป.ป.ช.ภาค และสำนักงาน ป.ป.ช.จังหวัด ให้ที่ประชุมคณะกรรมการ ป.ป.ช. รับทราบด้วย รวม 85 แห่ง แบ่งเป็น สำนักงาน ป.ป.ช.ภาค 1-9 และสำนักงาน ป.ป.ช.จังหวัด 76 แห่ง โดยทั้งหมดได้คะแนนเฉลี่ยรวม 90.74 คะแนน หรือเกรด A มีแค่ 4 แห่งที่ไม่ผ่านการประเมิน
สำหรับสำนักงาน ป.ป.ช.จังหวัด ที่ได้รับผลการประเมินระดับ AA หรือ 95 คะแนนขึ้นไป มี 5 แห่ง ได้แก่ สำนักงาน ป.ป.ช.สิงห์บุรี สำนักงาน ป.ป.ช.อ่างทอง สำนักงาน ป.ป.ช.เลย สำนักงาน ป.ป.ช.ลำพูน และสำนักงาน ป.ป.ช.กระบี่
ส่วนสำนักงาน ป.ป.ช.จังหวัด ที่ไม่ผ่านการประเมิน (ได้ต่ำกว่า 85 คะแนน) 4 แห่ง ได้แก่ สำนักงาน ป.ป.ช.อุดรธานี สำนักงาน ป.ป.ช.เชียงใหม่ สำนักงาน ป.ป.ช.พิษณุโลก และสำนักงาน ป.ป.ช.ยะลา
ขณะที่ผลการประเมิน สำนักงาน ป.ป.ช. ส่วนกลาง พบว่าได้คะแนน 87.45 คะแนน (เกรด A) ผ่านการประเมิน โดยได้คะแนนแบ่งเต็ม 100 คะแนนอยู่ 2 ส่วน ได้แก่ การป้องกันการทุจริต และการเปิดเผยข้อมูล ที่เหลือเป็นการปฏิบัติหน้าที่ 87.87 คะแนน การใช้งบประมาณ 80.12 คะแนน การใช้อำนาจ 83.30 คะแนน การแก้ไขปัญหา 81.25 คะแนน การปรับปรุงการทำงาน 71.91 คะแนน ประสิทธิภาพการสื่อสาร 75.62 คะแนน คุณภาพการดำเนินงาน 77.97 คะแนน เป็นต้น



อ่านประกอบ :
19 รัฐวิสาหกิจ‘สอบตก’ประเมิน ITA ปี 63-องค์การสวนสัตว์ฯแค่เกรด C จับตาสางปัญหาทุจริต?
4,757 อบต.จาก 5,313 แห่ง‘สอบตก’ ประเมิน ITA ปี 63 กทม.ฉลุย-พัทยาได้เกรด D
เทศบาลตำบล 2,044 แห่ง ไม่ผ่านเกณฑ์ ITA - อุดมธัญญา จ.นครสวรรค์ ท็อป 99.03 คะแนน
รายชื่อเทศบาลเมือง 158 แห่ง ‘สอบตก’ ITA -‘พิมลราช’ จ.นนทบุรี AA หนึ่งเดียว
19 เทศบาลนคร‘สอบตก’คุณธรรมโปร่งใส ‘ขอนแก่น นนทบุรี ปากเกร็ด’-‘แหลมฉบัง’บ๊วย
อบจ.60 แห่ง‘สอบตก’คุณธรรมความโปร่งใส จว.ใหญ่อื้อ ‘ลพบุรี’ติด E -‘สมุทรสาคร’สูงสุด
เปิด ITA 83 สถาบันอุดมศึกษา มหาวิทยาลัย 23 แห่ง ‘สอบตก’ - 3 มรภ. ท็อป 5
เช็คชื่อหน่วยงานรัฐชายแดนใต้ "ประเมินความโปร่งใส" ใครผ่าน-ใครตก!
ใครเป็นใคร? คะแนน ITA ปี 63 หน่วยงานรัฐ 7.2 พันแห่ง‘สอบตก’ 3 เหล่าทัพลิ่ว-ตร.แห้ว
ผู้นำประเทศอาจตกใจ! ป.ป.ช.เผยผลคะแนน ITA ปี 63 ได้แค่เกรด C-ชง ครม.รับทราบ
# กดคลิก ติดตาม ส่งแชร์ข่าวอิศรา ได้ที่นี่ https://www.facebook.com/isranewsfanpage/

Isranews Agency | สำนักข่าวอิศรา