นาฬิกา

line share   facebook   twitter   youtube

  • หน้าแรก
  • Isranews
  • รายงาน-สกู๊ป
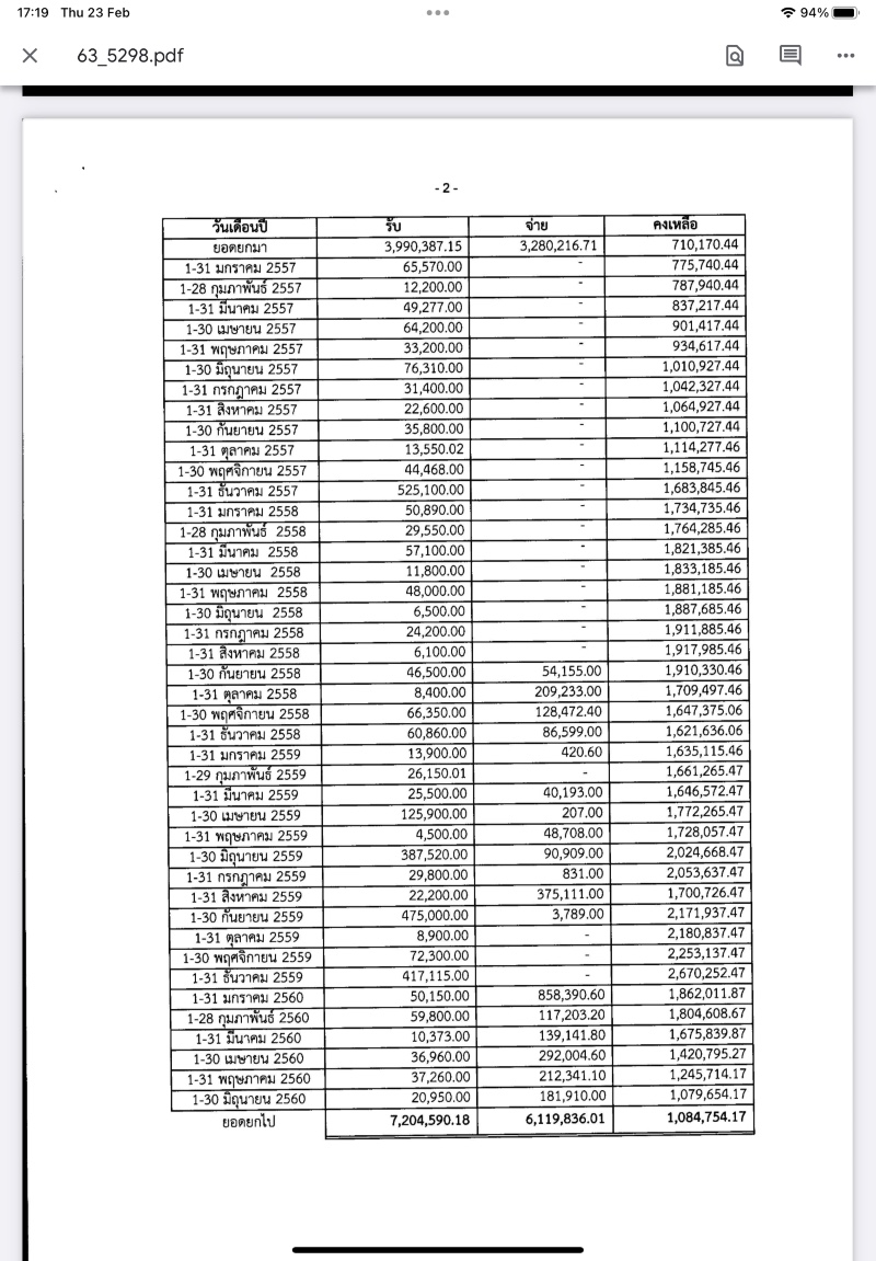
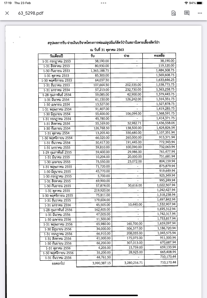
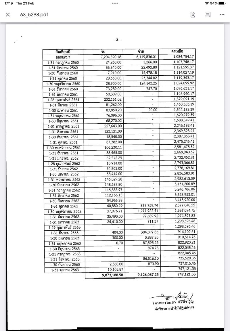
  • ไม่รับเงินสดให้โอนเท่านั้น! ทำความรู้จักโครงการพ่อแม่อุปถัมภ์สัตว์ป่าที่ 'รัชฎา'อ้างถึง

footer logoIsranews Agency | สำนักข่าวอิศรา
สำนักงาน : โรงแรมเดอะ รอยัล ริเวอร์ เลขที่ 219 ซอยจรัญสนิทวงศ์ 66/1 แขวง บางพลัด เขตบางพลัด กรุงเทพมหานคร 10700
เบอร์โทรศัพท์ : 095-575-8881,02-2413160-1

Copyright © 2010 - 2023 https://www.isra.or.th All rights reserved.

 
SONP1