
ราชกิจจานุเบกษา เผยแพร่ จำนวนราษฎรทั่วราชอาณาจักร ตามหลักฐานการทะเบียนราษฎร ณ วันที่ 31 ธ.ค. 2565 รวมทั้งสิ้น 66,090,475 คน กรุงเทพมหานคร มีมากสุด 5,494,932 คน
สำนักข่าวอิศรา (www.isranews.org) รายงานว่า เมื่อวันที่ 23 มกราคม 2566 ราชกิจจานุเบกษาเผยแพร่ประกาศสำนักทะเบียนกลาง เรื่อง 'จำนวนราษฎรทั่วราชอาณาจักร ตามหลักฐานการทะเบียนราษฎร ณ วันที่ 31 ธันวาคม 2565' ระบุว่า
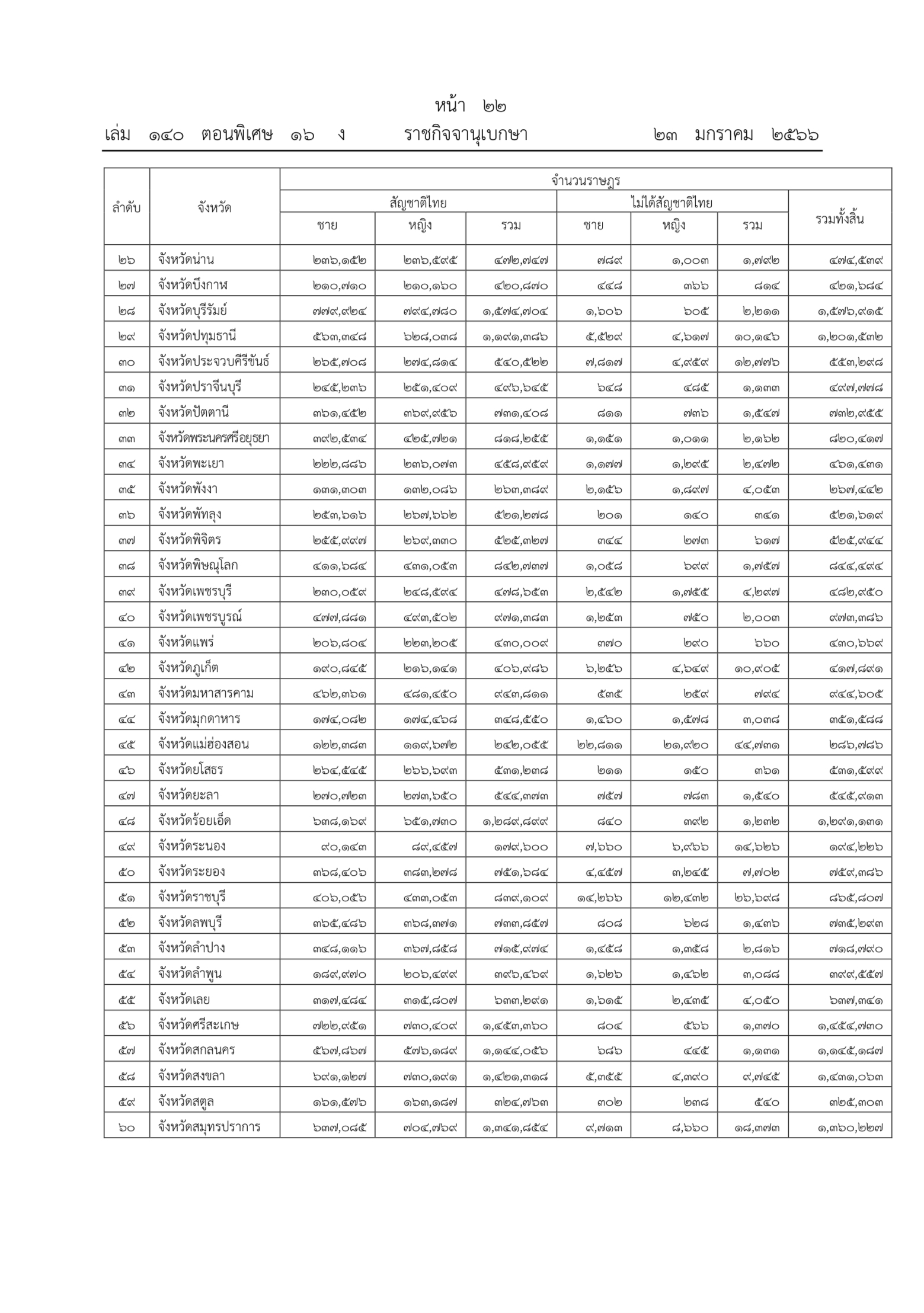
อาศัยอำนาจตามความในมาตรา 45 แห่งพระราชบัญญัติการทะเบียนราษฎร พ.ศ. 2534 ผู้อำนวยการทะเบียนกลาง ประเทศจำนวนราษฎรทั่วราชอาณาจักรตามหลักฐานการทะเบียนราษฎร ณ วันที่ 31 ธันวาคม พ.ศ. 2565 แยกเป็นกรุงเทพมหานครและจังหวัดต่าง ๆ ดังต่อไปนี้
ทั้งนี้พบว่า ทั่วประเทศมีจำนวนราษฎร รวมทั้งสิ้น 66,090,475 คน
สัญชาติไทย แบ่งเป็น ชาย 31,755,032 คน หญิง 33,351,449 คน รวม 65,106,481 คน
ไม่ได้สัญชาติไทย แบ่งเป็น ชาย 515,583 คน หญิง 468,411 คน รวม 983,994 คน
จังหวัดที่มีจำนวนราษฎรมากที่สุดคือ กรุงเทพมหานคร มีรวม 5,494,932 คน เป็นสัญชาติไทย 5,394,910 คน และที่ไม่ใช่สัญชาติไทย 100,022 คน
ขณะที่จังหวัดนครราชสีมา มีจำนวนราษฎรมากเป็นอันดับที่ 2 ของประเทศ มี 2,630,058 คน อันดับ 3 จังหวัดอุบลราชธานี 1,869,806 คน อันดับ 4 จังหวัดเชียงใหม่ 1,792,474 คน และอันดับ 5 จังหวัดขอนแก่น 1,784,641 คน




Isranews Agency | สำนักข่าวอิศรา