
เปิดยอดเงินบริจาคพรรคการเมืองเดือน ต.ค. 63 ‘พิจารณ์’ ยังควักให้ ‘ก้าวไกล’ ต่อเนื่องอีก 2.3 ล้าน ยอดรวม 8.8 ล้าน - ส.ขอนแก่นฯ โผล่บริจาค ‘เสรีรวมไทย’ 2 แสน - ‘ประกอบ จิรกิติ’ ให้ ปชป. 2.5 ล้าน – กลุ่มทุนอุตสาหกรรมโลหะ บ.พรพรหมเม็ททอลฯ ให้ ‘ภูมิใจไทย’ 2 ล้าน
...............................
ผู้สื่อข่าวรายงานว่า เมื่อวันที่ 4 ธ.ค. 2563 สำนักงานคณะกรรมการการเลือกตั้ง (กกต.) เผยแพร่บัญชีรายชื่อผู้บริจาคและจำนวนเงินที่บริจาคให้แก่พรรคการเมือง ประจำเดือน ต.ค. 2563 โดยมีพรรคที่น่าสนใจ เช่น พรรคก้าวไกล พรรคเสรีรวมไทย พรรคประชาธิปัตย์ และพรรคภูมิใจไทย เป็นต้น
ในส่วนของพรรคก้าวไกล พบว่ามียอดบริจาครวม 2,517,000 บาท ได้แก่ นายพิจารณ์ เชาวพัฒนวงศ์ บริจาค 2,340,000 บาท นายสุพิศาล ภักดีนฤนาถ บริจาค 77,000 บาท นายวรภพ วิริยะโรจน์ บริจาค 45,000 บาท น.ส.สุภาพรรณ พลังศักดิ์ บริจาค 50,000 บาท และนายบุษรินทร์ ยิ่งแจ่มศิริ บริจาค 5,000 บาท
สำหรับนายพิจารณ์ เชาวพัฒนวงศ์ เป็น ส.ส.บัญชีรายชื่อพรรคก้าวไกล ก่อนหน้านี้เคยบริจาคเงินเข้าพรรคก้าวไกลไปแล้วอย่างน้อย 6,499,440 บาท เมื่อรวมกับครั้งนี้ (เดือน ต.ค.) เท่ากับว่านายพิจารณ์บริจาคเข้าพรรคไปแล้ว 8,839,440 บาท

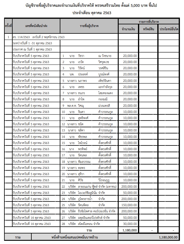
ส่วนพรรคเสรีรวมไทย พบว่ามียอดเงินบริจาครวม 1,180,000 บาท โดยรายชื่อผู้บริจาคที่น่าสนใจนอกเหนือจาก ส.ส. และสมาชิกพรรคแล้ว ยังมีเอกชนอีก 7 แห่งบริจาคด้วย ได้แก่ บริษัท ส.ขอนแก่น ฟู๊ดส์ จำกัด (มหาชน) 200,000 บาท บริษัท โอเวอร์ซีอลูมินั่ม จำกัด 50,000 บาท บริษัท ภูไพรธารน้ำ จำกัด 200,0000 บาท บริษัท รัตนพิดล จำกัด 1.5 แสนบาท บริษัท ธีรชัยไพศาล คอร์ปอเรชั่น จำกัด 200,000 บาท บริษัท อดุลอินเตอร์โปรดักส์ จำกัด 50,000 บาท บริษัท สไตล์ไอคอน จำกัด 30,000 บาท

พรรคประชาธิปัตย์ มียอดเงินบริจาครวม 3,218,000 บาท โดยเกือบทั้งหมดมาจากการบริจาคของนายประกอบ จิรกิติ อดีตรองผู้ว่าราชการกรุงเทพมหานคร และอดีต ส.ส.พรรคประชาธิปัตย์ บริจาค 2 ครั้ง ในวันเดียวกัน (19 ต.ค. 2563) รวม 2.5 ล้านบาท ครั้งแรก 1.5 ล้านบาท และอีกครั้ง 1 ล้านบาท

ส่วนพรรคภูมิใจไทย มียอดเงินบริจาครวม 4,160,000 บาท โดยมีผู้บริจาคเงินเกินหลักแสนบาทขึ้นไป 3 ราย ได้แก่ น.ส.มนัสนันท์ อร่ามแสงเทียน บริจาค 1 ล้านบาท นายชำนาญ พรพิไลลักษณ์ บริจาค 1 ล้านบาท และบริษัท แมค พาวเวอร์ เอ็นจิเนียริ่ง จำกัด บริจาค 500,000 บาท
สำหรับ น.ส.มนัสนันท์ อร่ามแสงเทียน เป็นผู้ถือหุ้นใหญ่ลำดับ 15 (จำนวนหุ้น 3,484,500 หุ้น) ในบริษัท พรพรหมเม็ททอล จำกัด (มหาชน) ทำธุรกิจเกี่ยวกับอุตสาหกรรมเหล็กและโลหะ ขณะที่นายชำนาญ พรพิไลลักษณ์ เป็นผู้ถือหุ้นใหญ่ลำดับ 2 (จำนวนหุ้น 102,815,733 หุ้น) ในบริษัท พรพรหมเม็ททอล จำกัด (มหาชน) และยังดำรงตำแหน่งประธานกรรมการบริหาร กรรมการผู้จัดการ และกรรมการบริษัท พรพรหมเม็ททอล จำกัด (มหาชน) ด้วย

อ่านประกอบ :
ยอดบริจาคพรรค ก.ย.63 กลุ่มทุนยานยนต์ จ.เลย ให้เพื่อไทย-‘พิจารย์’ควักอีก 2 ล.เข้า กก.
ใครเป็นใคร? เปิดตัว 6 เอกชนหอบเงินบริจาค พปชร.-3 บริษัทเครือข่าย‘ซีพี’ควัก 10 ล.
ยอดบริจาคพรรค ส.ค.63 ‘ณัฏฐพล’ควักอีก 6 ล.เข้า พปชร.-‘พิพัฒน์’ 5 ล.ให้ภูมิใจไทย
‘โกมล จึงรุ่งเรืองกิจ’โผล่บริจาค พปชร. 3 ล.‘ณัฏฐพล’ด้วย 1 ล.-‘พิธา’ควักให้ กก.อีก 1.7 ล.
เม.ย.63 ‘พิธา’ประเดิมบริจาคพรรคก้าวไกล 4 แสน-‘สุพิศาล’ควักอีก 1 แสน
มี.ค. 63 พรรคก้าวไกลได้เงินบริจาคแรกในรอบปี-'สุพิศาล'ส.ส.ปาร์ตี้ลิสต์ควัก 4 แสน
ก่อนยุบ อนค.! ม.ค.-ก.พ.63 ‘รวิพรรณ-น้องธนาธร’บริจาค 13.2 ล.-ยอด 1 ปี 4 เดือน 145 ล.
ธ.ค. 62 กก.ไทยซัมมิทฯบริจาค อนค.อีก 7.5 ล.-ยอดรวม 1 ปี 3 เดือน 127 ล.
กางยอดบริจาค อนค.แค่ปีเศษ ‘ธนาธร-ครอบครัว’ ควัก 42.7 ล. จากทั้งหมด 105 ล.
พ.ย.62 น้องเขย‘ธนาธร’บริจาคเงินเข้า อนค. 2 ล.-‘พิจารณ์’ส.ส.ปาร์ตี้ลิสต์ด้วย 3 ล.
พบ กก.ในเครือไทยซัมมิทโผล่บริจาคเงิน อนค. 6 ล้านเดือน ต.ค. 62
ก.ค. 62 ‘ธนาธร-รวิพรรณ’บริจาคเข้า อนค.เพิ่มอีก 18.5 ล.‘ช่อ-ปิยบุตร’คนละ 4 หมื่น
‘ธนาธร-เมีย-แม่ยาย’บริจาคเงินให้ อนค. 22.2 ล.จากยอดรวม 39.5 ล.ก่อนเลือกตั้ง
2 ผู้บริจาคเงิน อนค. ได้รับแต่งตั้งเป็น ‘ผู้เชี่ยวชาญ-ผู้ชำนาญการ’ ประจำตัว ส.ส.‘ธนาธร’
มิ.ย. 62 เหรัญญิก อนค.บริจาคพรรคอีก 1.9 ล.-นั่ง กก.บ.อาหารเสริม ปี 61 ขาดทุน 9 แสน
‘ช่อ-พรรณิการ์’ เอาเงินจากไหน? บริจาคให้พรรค 1 ล้าน
# กดคลิก ติดตาม ส่งแชร์ข่าวอิศรา ได้ที่นี่ https://www.facebook.com/isranewsfanpage/

Isranews Agency | สำนักข่าวอิศรา