"...บริษัทฯ ระบุข้อมูลการทำธุรกิจว่า เป็นบริษัทที่มีประสบการณ์และมีความสามารถในการให้บริการที่มีความหลากหลายแก่ลูกค้า ซึ่งเป็นนักธุรกิจชั้นนำระดับโลก ในการทำหน้าที่ของบริษัทฯ จะมีทีมงานคอยให้คำปรึกษาที่มีประสิทธิภาพ บรรลุความต้องการของลูกค้าในภาคธุรกิจทั้งในด้านการสื่อสาร การประเมินความเสี่ยง การประชาสัมพันธ์ การเสริมสร้างสัมพันธ์กับรัฐบาล..."

"นายธนาธรได้ว่าจ้างบริษัท แอพโกฯ จริง โดยมีจุดมุ่งหมายเพื่อทำหน้าที่อำนวยความสะดวกในการติดต่อประสานงานนัดหมายบุคคลและหน่วยงานต่างๆ จัดตารางงาน และจัดทำเอกสารข้อมูลภาษาอังกฤษสำหรับการเดินทางเยือนสหรัฐฯ ระหว่างวันที่ 12-16 กรกฎาคมที่ผ่านมา
"เนื่องจากการนัดหมายบางส่วนจำเป็นต้องมีการลงทะเบียนเข้าพบ จึงต้องมีตัวแทนดำเนินการตามระบบกฎหมายของทางการสหรัฐฯ"
"ขอยืนยันว่าการจ้างนั้นไม่ได้เป็นการให้ร้ายหรือทำให้ประเทศเสียหายแต่อย่างใด แต่เป็นเพียงการเดินทางไปอธิบายแนวทางการทำงาน ให้ข้อมูลเกี่ยวกับสถานการณ์ในประเทศไทย รวมทั้งเรียนรู้บทเรียนจากการดำเนินนโยบายในต่างประเทศต่างๆ ทั้งด้านเศรษฐกิจ การศึกษา เทคโนโลยี การคมนาคม การเงินการคลัง สิ่งแวดล้อม ฯลฯ ซึ่งเป็นประโยชน์ต่อการนำมาพัฒนานโยบายในประเทศไทยต่อไปเท่านั้นเอง"
คือ คำชี้แจงล่าสุดจากเพจเฟซบุ๊กพรรคอนาคตใหม่ ต่อกรณีถูกคนบางกลุ่มนำเอกสารการว่าจ้าง ระหว่าง นายธนาธร จึงรุ่งเรืองกิจ หัวหน้าพรรคอนาคตใหม่ กับบริษัท แอพโก เวิลด์ไวด์ (APCO Worldwide LLC) ซึ่งเป็นบริษัทประชาสัมพันธ์และล็อบบี้ยิสต์รายใหญ่ในสหรัฐฯ มาเผยแพร่ต่อสาธารณชนพร้อมเชื่อมโยงไปยังเรื่องการประท้วง พล.อ.ประยุทธ์ จันทร์โอชา นายกรัฐมนตรี ที่นิวยอร์ก สหรัฐอเมริกา เมื่อเร็วๆ นี้ (อ้างอิงจาก:อนาคตใหม่ยอมรับ จ้าง APCO ล็อบบี้ยิสต์มะกันจริง อ้างแค่เพื่อประสานงาน ไม่ได้ทำชาติเสียหาย)
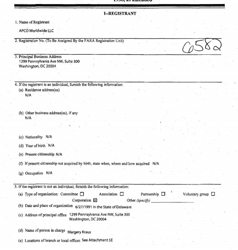
ล่าสุด สำนักข่าวอิศรา www.isranews.org สืบค้นข้อมูล บริษัท แอพโก เวิลด์ไวด์ (APCO Worldwide LLC) จากเว็บไซต์ https://apcoworldwide.com/about/ พบว่า บริษัทฯ ระบุข้อมูลการทำธุรกิจว่า เป็นบริษัทที่มีประสบการณ์และมีความสามารถในการให้บริการที่มีความหลากหลายแก่ลูกค้า ซึ่งเป็นนักธุรกิจชั้นนำระดับโลก ในการทำหน้าที่ของบริษัทฯ จะมีทีมงานคอยให้คำปรึกษาที่มีประสิทธิภาพ บรรลุความต้องการของลูกค้าในภาคธุรกิจทั้งในด้านการสื่อสาร การประเมินความเสี่ยง การประชาสัมพันธ์ การเสริมสร้างสัมพันธ์กับรัฐบาล ด้านกฎหมาย ควาามสัมพันธ์ระหว่างประเทศ ธรรมภิบาลของบริษัท และในด้านการเสริมสร้างและประชาสัมพันธ์แบรนด์ของบริษัทลูกค้า"

ทั้งนี้ ในเอกสารข้อมูลนิติบุคคลที่ทางบริษัทแอพโกฯ ส่งให้กับกระทรวงยุติธรรมสหรัฐอเมริกาเมื่อวันที่ 22 ส.ค. 2561 ระบุว่า บริษัทฯ จดทะเบียน เมื่อวันที่ 27 มิ.ย.2534 ที่รัฐเดลาแวร์ สหรัฐอเมริกา
ปัจจุบันมีที่อยู่หลักคือ 1299 ถนนเพนซิลวาเนีย อาคาร N W Suite 300 กรุงวอชิงตันดีซี สหรัฐอเมริกา ผู้มีอำนาจคือนางมาเกอรี่ เคราส์ (Margery Kraus)

นางมาเกอรี่ เคราส์ (Margery Kraus) ผู้มีอำนาจในบริษัทแอพโก

สำหรับข้อมูลด้านการเงินนั้น เว็บไซต์ Hoovers.com ระบุว่าบริษัทแอพโกฯ มีรายรับจากการประกอบกิจการรวมอยู่ที่ 11.09 ล้านเหรียญสหรัฐ (339,581,345 บาท) มีรายได้สุทธิอยู่ที่ 650,000 เหรียญสหรัฐ (1,990,300,000 บาท)
ปัจจุบันมีจำนวนพนักงานที่แจ้งไว้อยู่ 28 คน และมีบริษัทที่เกี่ยวข้องจำนวน 27 แห่ง แบ่งเป็นบริษัทย่อย 15 แห่ง และบริษัทสาขา 11 แห่ง


เมื่อตรวจสอบข้อมูลลึกลงไปพบว่า บริษัทแอพโกฯ มีบริษัทสาขาอยู่ในประเทศไทยด้วย ใช้ชื่อว่า Apco Worldwide Limited ตั้งอยู่ที่อาคารพรีม่า สาธร ถนน นราธิวาสราชนครินทร์ แขวง ทุ่งมหาเมฆ เขต สาทร กรุงเทพมหานคร

จากการตรวจสอบข้อมูลบริษัทแอพโกฯ สาขาประเทศไทย พบว่า มีกรรมการผู้มีอำนาจจำนวน 2 คนได้แก่ 1.นายแบรดลีย์ รอย สเตเพิล และ 2.นางมาเกอรี่ เคราส์
จดทะเบียนแจ้งประเภทธุรกิจว่า ให้คำแนะนำ คำปรึกษาเกี่ยวกับการทำธุรกิจการติดต่อประสานงานกับหน่วยงานภาครัฐ รวมถึงการติดต่อประสานงานด้านต่างๆ รวมถึงการวิจัยและพัฒนาเชิงทดลองด้านวิศวกรรมและเทคโนโลยีอื่นๆ
มีทุนจดทะเบียนทั้งสิ้น 4,000,000 บาท และแจ้งรายได้ในปี 2561 ว่า ขาดทุนทั้งสิ้น 1,848,516 บาท
ทั้งหมดนี่ คือ ข้อมูลบริษัท แอพโกฯ ผู้รับจ้างทำหน้าที่อำนวยความสะดวกในการติดต่อประสานงานนัดหมายบุคคลและหน่วยงานต่างๆ จัดตารางงาน และจัดทำเอกสารข้อมูลภาษาอังกฤษ สำหรับการเดินทางเยือนสหรัฐฯ ระหว่างวันที่ 12-16 กรกฎาคมที่ผ่านมา ของ นายธนาธร ที่พอจะสืบค้นได้ในช่วงเวลานี้
# กดคลิก ติดตาม ส่งแชร์ข่าวอิศรา ได้ที่นี่ https://www.facebook.com/isranewsfanpage/

Isranews Agency | สำนักข่าวอิศรา