
พลิกข้อมูลยอดเงินบริจาค พ.ย.-ธ.ค. 63 พรรคเพื่อไทยยอดรวม 27.5 ล้าน ‘ขุนพล ทษช.’ คัมแบ็กโผล่บริจาคเพียบ ‘เฮียเพ้ง’ มาแล้ว 2 ล้าน ‘พิชัย-พชร นริพทะพันธุ์’ 7 ล้าน อดีตคน ทษช.อื้อ เพื่อนซี้ 'คุณหญิงอ้อ' มาด้วย ช่วงเดียวกับ ‘คุณหญิงหน่อย-ทีมงาน’ ไขก๊อก
.......................................
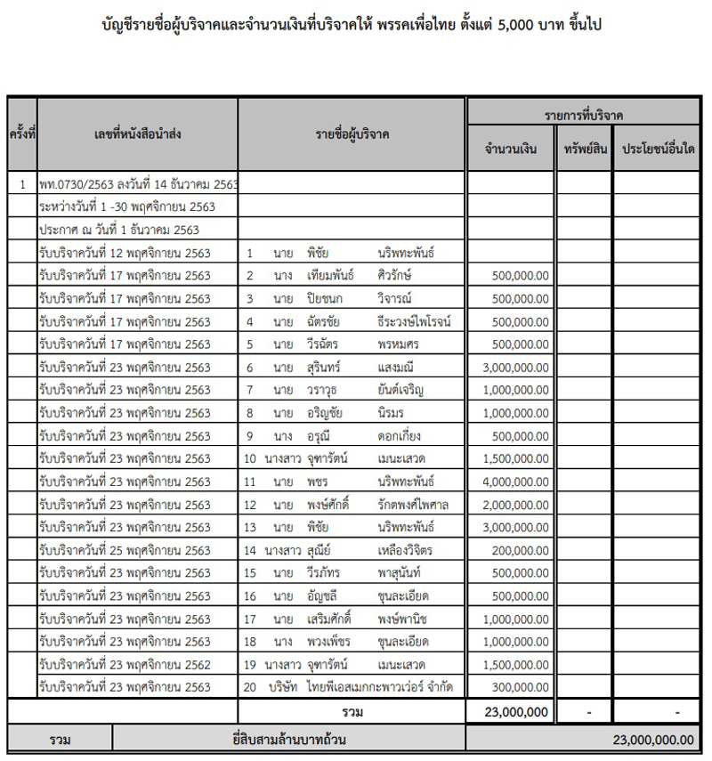
สำนักข่าวอิศรา (www.isranews.org) รายงานว่า เมื่อเร็ว ๆ นี้ สำนักงานคณะกรรมการการเลือกตั้ง (กกต.) เผยแพร่ยอดเงินบริจาคพรรคการเมือง ประจำเดือน พ.ย. และ ธ.ค. 2563 โดยพรรคการเมืองที่มีความเคลื่อนไหวน่าสนใจที่สุดคือ พรรคเพื่อไทย
เดือน พ.ย. 2563 พรรคเพื่อไทยมียอดเงินบริจาค 20 รายการ รวมวงเงิน 23 ล้านบาท โดยยอดบริจาคเยอะสุดมาจากสกุล ‘นริพทะพันธุ์’ จำนวน 7 ล้านบาท แบ่งเป็นของนายพิชัย นริพทะพันธุ์ อดีต รมว.พลังงาน ยุครัฐบาล น.ส.ยิ่งลักษณ์ ปัจจุบันเป็นทีมเศรษฐกิจพรรคเพื่อไทย 3 ล้านบาท และนายพชร นริพทะพันธุ์ บุตรชายนายพิชัย และสมาชิกพรรคเพื่อไทย 4 ล้านบาท
@ขุนพล ทษช.คืนถิ่น-เพื่อนซี้‘คุณหญิงอ้อ’บริจาคด้วย
ที่น่าสนใจ ปรากฏชื่อของนายพงษ์ศักดิ์ รักตพงศ์ไพศาล หรือ ‘เฮียเพ้ง’ อดีตรัฐมนตรีหลายสมัย อดีตคนใกล้ชิดนายทักษิณ ชินวัตร อดีตนายกรัฐมนตรี ร่วมบริจาคด้วย จำนวน 2 ล้านบาท
โดยการบริจาคของ ‘เฮียเพ้ง’ ให้พรรคเพื่อไทยครั้งนี้ นับเป็นครั้งแรกตั้งแต่ประกาศยุติบทบาททางการเมืองเมื่อเดือน ก.ค. 2562 ก่อนหน้านี้มีกระแสข่าวว่าเคลื่อนไหวอยู่กับ ‘พรรคแบงก์ร้อย’ ไทยรักษาชาติ (ทษช.) ที่ถูกศาลรัฐธรรมนูญวินิจฉัยยุบพรรคไปเมื่อปี 2562
แม้แต่ น.ส.สุณีย์ เหลืองวิจิตร อดีตเลขาธิการพรรคเพื่อไทย อดีตรองหัวหน้าพรรค ทษช. เด็กสร้างของ 'เฮียเพ้ง' ยังบริจาคเข้าพรรคเพื่อไทยด้วย 2 แสนบาท
ส่วนที่เหลือยอดบริจาคเงินเกิน 1 ล้านบาท เช่น นายสุรินทร์ แสงมณี นักธุรกิจด้านยานยนต์ (สกุลเดียวกับนายจักรพงษ์ แสงมณี นายทะเบียนและทีมเศรษฐกิจพรรคเพื่อไทย) 3 ล้านบาท นายวราวุธ ยันต์เจริญ (อดีตสมาชิก ทษช. อดีตที่ปรึกษารัฐมนตรี 2 กระทรวงของ พล.อ.อ.สุกำพล สุวรรณทัต) 1 ล้านบาท นายอริญชัย นิรมร นักธุรกิจอสังหาริมทรัพย์ (บริษัทของนายอริญชัยเคยบริจาคเงินให้ ทษช. 2 ล้านบาท) 1 ล้านบาท น.ส.จุฑารัตน์ เมนะเสวด (คุณแจ๋ว เพื่อนร่วมรุ่นโรงเรียนเซนต์โยเซฟคอนเวนต์กับ ‘คุณหญิงอ้อ’ คุณหญิงพจมาน ดามาพงศ์) 3 ล้านบาท นายเสริมศักดิ์ พงษ์พานิช (อดีต รมช.มหาดไทย รัฐบาล น.ส.ยิ่งลักษณ์) 1 ล้านบาท นางพวงเพ็ชร ชุนละเอียด (อดีตแกนนำพรรค ทษช.) 1 ล้านบาท
ทั้งนี้ในช่วงเดือน พ.ย.-ธ.ค. 2563 เป็นช่วงเวลาเดียวกับการเปลี่ยน ‘ขั้วอำนาจ’ ในพรรคเพื่อไทย โดยกลุ่ม ‘คุณหญิงหน่อย’ คุณหญิงสุดารัตน์ เกยุราพันธุ์ พร้อมกับทีมงานประกาศลาออกจากสมาชิกพรรคเพื่อไทย และมีการแต่งตั้งคณะกรรมการบริหารพรรคชุดใหม่ด้วย

@นักธุรกิจดัง จ.เลยโผล่บริจาคอีก 3 ล้าน
ส่วนยอดเงินบริจาคของพรรคเพื่อไทย เดือน ธ.ค. 2563 มี 4 รายการ รวมวงเงิน 4.5 ล้านบาท โดยยอดบริจาคมากสุดคือ นายวิฑูรย์ พัฒนชัยกุล (นักธุรกิจด้านยานยนต์ และธุรกิจปั๊มน้ำมันใน จ.เลย เดือน ก.ย.บริจาคไปแล้ว 1 ล้านบาท) 3 ล้านบาท ที่เหลือคื นางรวิวรรณ นิ้มเจริญสุข 5 แสนบาท นางอาภรณ์ ลังกาพินธุ์ 5 แสนบาท และ น.ส.อนงค์ เอนกรัตน์มนตรี 5 แสนบาท
รวมยอดเงินบริจาคพรรคเพื่อไทยเดือน พ.ย.-ธ.ค. 2563 ทั้งสิ้น 24 รายการ เป็นเงิน 27.5 ล้านบาท

ส่วนพรรคการเมืองอื่น ๆ ที่น่าสนใจ เช่น พรรคก้าวไกล มียอดเงินบริจาคในเดือน พ.ย. 2563 จำนวน 5 รายการ รวมวงเงิน 152,000 บาท เดือน ธ.ค. 2563 จำนวน 18 รายการ รวมวงเงิน 4,583,220 บาท โดยมีผู้บริจาคขั้นต่ำ 1 ล้านบาท เช่น นายพิธา ลิ้มเจริญรัตน์ หัวหน้าพรรค 1 ล้านบาท น.ส.วรรณวรี ตะล่อมสิน 2 ล้านบาท และนายพรพิพัฒน์ เทียนชัยกุล 1 ล้านบาท เป็นต้น
ส่วนพรรคอื่น ๆ เช่น พรรคภูมิใจไทย พรรคชาติไทยพัฒนา พรรชาติพัฒนา พรรคเสรีรวมไทย มีสมาชิกพรรค และ ส.ส.บริจาคเข้าพรรคอย่างต่อเนื่อง ส่วนใหญ่รายละหลักหมื่นบาท
อ่านประกอบ :
บริจาคพรรค ต.ค. 63 ‘พิจารณ์’ควักอีก 2.3 ล.เข้า กก.-ส.ขอนแก่นฯโผล่ให้เสรีรวมไทย 2 แสน
ยอดบริจาคพรรค ก.ย.63 กลุ่มทุนยานยนต์ จ.เลย ให้เพื่อไทย-‘พิจารย์’ควักอีก 2 ล.เข้า กก.
ใครเป็นใคร? เปิดตัว 6 เอกชนหอบเงินบริจาค พปชร.-3 บริษัทเครือข่าย‘ซีพี’ควัก 10 ล.
ยอดบริจาคพรรค ส.ค.63 ‘ณัฏฐพล’ควักอีก 6 ล.เข้า พปชร.-‘พิพัฒน์’ 5 ล.ให้ภูมิใจไทย
‘โกมล จึงรุ่งเรืองกิจ’โผล่บริจาค พปชร. 3 ล.‘ณัฏฐพล’ด้วย 1 ล.-‘พิธา’ควักให้ กก.อีก 1.7 ล.
เม.ย.63 ‘พิธา’ประเดิมบริจาคพรรคก้าวไกล 4 แสน-‘สุพิศาล’ควักอีก 1 แสน
มี.ค. 63 พรรคก้าวไกลได้เงินบริจาคแรกในรอบปี-'สุพิศาล'ส.ส.ปาร์ตี้ลิสต์ควัก 4 แสน
ก่อนยุบ อนค.! ม.ค.-ก.พ.63 ‘รวิพรรณ-น้องธนาธร’บริจาค 13.2 ล.-ยอด 1 ปี 4 เดือน 145 ล.
ธ.ค. 62 กก.ไทยซัมมิทฯบริจาค อนค.อีก 7.5 ล.-ยอดรวม 1 ปี 3 เดือน 127 ล.
กางยอดบริจาค อนค.แค่ปีเศษ ‘ธนาธร-ครอบครัว’ ควัก 42.7 ล. จากทั้งหมด 105 ล.
พ.ย.62 น้องเขย‘ธนาธร’บริจาคเงินเข้า อนค. 2 ล.-‘พิจารณ์’ส.ส.ปาร์ตี้ลิสต์ด้วย 3 ล.
พบ กก.ในเครือไทยซัมมิทโผล่บริจาคเงิน อนค. 6 ล้านเดือน ต.ค. 62
ก.ค. 62 ‘ธนาธร-รวิพรรณ’บริจาคเข้า อนค.เพิ่มอีก 18.5 ล.‘ช่อ-ปิยบุตร’คนละ 4 หมื่น
‘ธนาธร-เมีย-แม่ยาย’บริจาคเงินให้ อนค. 22.2 ล.จากยอดรวม 39.5 ล.ก่อนเลือกตั้ง
2 ผู้บริจาคเงิน อนค. ได้รับแต่งตั้งเป็น ‘ผู้เชี่ยวชาญ-ผู้ชำนาญการ’ ประจำตัว ส.ส.‘ธนาธร’
มิ.ย. 62 เหรัญญิก อนค.บริจาคพรรคอีก 1.9 ล.-นั่ง กก.บ.อาหารเสริม ปี 61 ขาดทุน 9 แสน
‘ช่อ-พรรณิการ์’ เอาเงินจากไหน? บริจาคให้พรรค 1 ล้าน
# กดคลิก ติดตาม ส่งแชร์ข่าวอิศรา ได้ที่นี่ https://www.facebook.com/isranewsfanpage/

Isranews Agency | สำนักข่าวอิศรา