
“คณะกรรมการบริษัทฯ มีมติอนุมัติค่าใช้จ่ายในวงเงิน 161,097.64 ล้านบาท (หนึ่งแสนหกหมื่นหนึ่งพันเก้าสิบเจ็ดล้านหกแสนสี่หมื่นบาทถ้วน) และเนื่องจากโครงการดังกล่าวเป็นโครงการที่มีระยะเวลายาวถึง 25 ปี จึงทำให้มีวงเงินค่าใช้จ่ายที่สูงมากและเป็นค่าใช้จ่ายที่ต้องเบิกจากค่าโดยสาร ซึ่งจะผูกพันกรุงเทพมหานครและบริษัทฯ ในระยะยาว...”
......................................
“ส่วนต่อขยายที่ 1 ช่วงบางจาก-แบริ่ง และกรุงธนบุรี-บางหว้า...ค่าใช้จ่ายในการเดินรถ ส่วนตัวคิดว่าควรที่จะต้องทบทวนได้แล้ว เพราะจาก 10 ปีที่ผ่านมา มีการพบว่าตัวแปรบางอย่างเปลี่ยนไป โดยมีทั้งตัวแปรที่ดีและแย่ลง ซึ่งควรจะต้องเชิญ BTSC (บมจ.ระบบขนส่งมวลชนกรุงเทพ) มาคุยกัน”
นี่เป็นส่วนหนึ่งของคำให้สัมภาษณ์ของ ‘แม่ทัพ’ แห่งกรุงเทพธนาคม ธงทอง จันทรางศุ ประธานบริษัท กรุงเทพธนาคม จำกัด (KT) รัฐวิสาหกิจในสังกัดกรุงเทพมหานคร ซึ่งให้สัมภาษณ์พิเศษกับสำนักข่าวอิศรา (www.isranews.org) ในช่วงต้นเดือน ก.ค.ที่ผ่านมา กรณีการทบทวนสัญญาจ้างเดินรถไฟฟ้าสายสีเขียว ‘ส่วนต่อขยาย’ ระหว่าง KT และ BTSC
ธงทอง ยังกล่าวถึงการว่าจ้าง BTSC ในการเดินรถไฟฟ้าสายสีเขียว ส่วนต่อขยายที่ 2 ช่วงแบริ่ง-สมุทรปราการ และช่วงหมอชิต-สะพานใหม่-คูคต ว่า การที่คณะผู้บริหาร กทม. ชุดที่แล้ว ไม่ดำเนินการเก็บค่าโดยสาร ส่วนต่อขยายที่ 2 จนทำให้เกิดหนี้สะสม ถือว่าทำให้ กทม. เสียหายหรือไม่นั้น เป็นประเด็นของ กทม.จะต้องพิจารณา
“หากให้วิเคราะห์ว่า ทำไมผู้ว่าฯกทม.ยุคก่อน (พล.ต.อ.อัศวิน ขวัญเมือง) ไม่เก็บค่าโดยสารส่วนต่อขยายที่ 2 เสียที อาจเพราะความรับผิดชอบทางการเมืองก็ได้ แต่ในทางกฎหมาย ต้องดูให้ถี่ถ้วน หากกระบวนการถูกต้องและทำภายใต้อำนาจที่มี ก็ว่าอะไรไม่ได้” ธงทอง ระบุ (อ่านประกอบ : แก้จ้างเดินรถ BTS ชัดเจนปีนี้ ‘ธงทอง’เคลียร์ส่วนต่อขยาย 1-2)
@จ้างเดิน ‘สายสีเขียว’ ส่วนต่อขยายที่ 1 อายุ 30 ปี 1.9 แสนล้าน
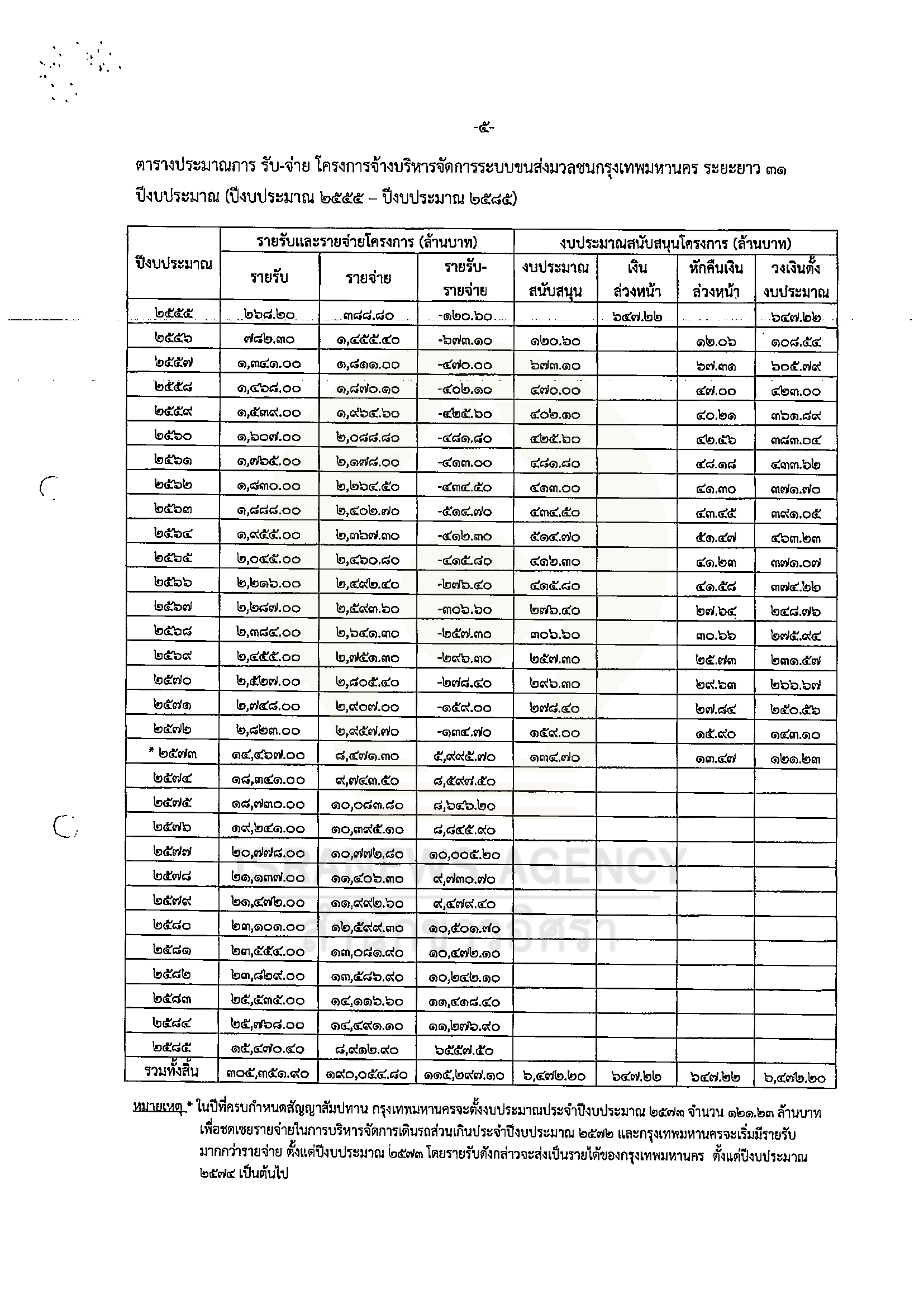
แม้ว่า กทม. และบริษัท กรุงเทพธนาคม ไม่เคยเปิดเผยรายละเอียดสัญญาค่าจ้างเดินรถไฟฟ้า ‘สายสีเขียว’ ส่วนต่อขยายที่ 1 และ 2
แต่ในช่วงที่ผ่านมาปรากฏข้อมูลเกี่ยวกับวงเงิน ‘ค่าจ้างเดินรถ’ รถไฟฟ้าสายสีเขียว ส่วนต่อขยายทั้ง 2 ช่วง สำนักข่าวอิศรา จึงขอนำเสนอข้อมูลเกี่ยวกับค่าจ้างเดินรถไฟฟ้าสายสีเขียว ส่วนต่อขยายทั้ง 2 ช่วง ซึ่งมีวงเงินรวม วงเงินรวม 3.51 แสนล้านบาท ให้สาธารชนได้รับทราบ ดังนี้
รถไฟฟ้าสายสีเขียว ส่วนต่อขยายที่ 1 (บางจาก-แบริ่ง และกรุงธนบุรี-บางหว้า)
ในยุคที่ ม.ร.ว.สุขุมพันธุ์ บริพัตร เป็นผู้ว่าราชการ กทม. นั้น กทม.ได้ว่าจ้าง บริษัท กรุงเทพธนาคม จำกัด ให้เป็นผู้บริหารจัดการโครงการระบบขนส่งมวลชนกรุงเทพมหานคร ระยะเวลา 30 ปี โดยลงนามสัญญาเมื่อวันที่ 2 พ.ค.2555 และเริ่มเดินรถตามสัญญาตั้งแต่วันที่ 8 พ.ค.2555
ทั้งนี้ บริษัท กรุงเทพธนาคม จำกัด ได้ทำสัญญาว่าจ้าง บมจ.ระบบขนส่งมวลชนกรุงเทพ (BTSC) ให้เป็น ‘ผู้เดินรถและซ่อมบำรุง’ รถไฟฟ้าสายสีเขียว ส่วนต่อขยายที่ 1 ระยะเวลา 30 ปี หรือ ตั้งแต่เดือน พ.ค.2555-พ.ค.2585 วงเงินค่าใช้จ่ายในการดำเนินโครงการ 190,054.8 ล้านบาท
ขณะที่การดำเนินการแบ่งเป็น 2 ระยะ ได้แก่ ระยะที่ 1 ปีงบประมาณ 2555-2573 และระยะที่ 2 ปีงบประมาณ 2573-2585 และในปีแรกจะเป็นการเบิกจ่ายเงินล่วงหน้า ส่วนค่าใช้จ่ายในการเดินรถในแต่ละปีจะจ่ายให้ในปีถัดไป ดังนี้
-ระยะที่ 1 ปีงบประมาณ 2555-2573 รายได้ค่าโดยสารน้อยกว่ารายจ่ายของโครงการ 6,472.2 ทำให้กรุงเทพมหานครมีภาระต้องจัดสรรงบประมาณสนับสนุนโครงการในการดำเนินการเป็นเงิน 6,472.2 บาท
- ระยะที่ 2 ปีงบประมาณ 2573-2585 เป็นช่วงที่สัญญาสัมปทานโครงการระบบขนส่งมวลชนกรุงเทพมหานคร ระยะทาง 23.5 กิโลเมตร (รถไฟฟ้าบีทีเอส) สิ้นสุดแล้ว และโครงการจะมาอยู่ในความดูแลของกรุงเทพมหานคร ด้วยเหตุที่โครงการดังกล่าวมีผู้ใช้บริการเป็นจำนวนมาก
ดังนั้น จึงมีรายได้ค่าโดยสารมากกว่ารายจ่ายของโครงการ และด้วยวิธีบริหารจัดการทางการเงินแบบรายจ่ายสุทธิที่เกินกว่ารายได้จากการเดินรถ (Net Cost) ทำให้งบประมาณที่กรุงเทพมหานครต้องจัดสรรให้แก่โครงการในช่วงที่ 2 นี้เป็นศูนย์
และสำหรับรายได้ค่าโดยสารส่วนที่เหลือจากการหักลบกับรายจ่ายของโครงการผู้รับจ้างจะนำส่งให้แก่กรุงเทพมหานครทั้งหมด (อ่านประกอบ : ป.ป.ช.ตั้ง 7 ประเด็น สอบเพิ่ม คดี ‘สุขุมพันธุ์' จ้าง BTS เดินรถไฟฟ้าสายสีเขียว ปี 55 และดูเอกสารประกอบ)


ที่มา : เอกสารโครงการบริหารจัดการระบบขนส่งมวลชนกรุงเทพมหานคร กองการขนส่ง สำนักการจราจรและขนส่ง กรุงเทพมหานคร)
@เปิดเอกสาร กทม. ตกลงว่าจ้างเดินรถ ‘ส่วนต่อขยาย’ สอง 1.61 แสนล.
รถไฟฟ้าสายสีเขียว ส่วนต่อขยายที่ 2 (แบริ่ง-สมุทรปราการ และช่วงหมอชิต-สะพานใหม่-คูคต)
ในยุคที่ พล.ต.อ.อัศวิน ขวัญเมือง เป็นผู้ว่า กทม. ทาง กทม.ได้ลงนามบันทึกข้อตกลงการมอบหมายให้ บริษัท กรุงเทพธนาคม จำกัด เป็นผู้บริหารจัดการโครงการรถไฟฟ้าสายสีเขียว (ช่วงหมอชิต-สะพานใหม่-คูคต และช่วง แบริ่ง-สมุทรปราการ) เมื่อวันที่ 28 ก.ค.2559
ต่อมา บริษัท กรุงเทพธนาคม จำกัด ทำสัญญาว่าจ้าง BTSC เป็นผู้ให้บริการ ‘เดินรถและซ่อมบำรุง’ รถไฟฟ้าสายสีเขียว ส่วนต่อขยายที่ 2 เป็นระยะเวลา 25 ปี หรือตั้งแต่ปี 2560-2580 ปรากฏวงเงินค่าใช้จ่ายในการว่าจ้างเดินรถและซ่อมบำรุง เป็นวงเงิน 161,054.8 ล้านบาท
“ข้อเท็จจริง สำนักการจราจรและขนส่ง ขอเรียนให้ทราบว่า
1.กรุงเทพมหานคร ได้ลงนามบันทึกข้อตกลงการมอบหมายกิจการในอำนาจหน้าที่ของกรุงเทพมหานคร โครงการระบบขนส่งมวลชนสายสีเขียว ช่วงหมอชิต-สะพานใหม่-คูคต และช่วงแบริ่ง-สมุทรปราการ เมื่อวันที่ 28 กรกฎาคม 2559 กับบริษัท กรุงเทพธนาคม จำกัด
ให้เป็นผู้ดำเนินการติดตั้งระบบเดินรถไฟฟ้า และบริหารจัดการเดินรถไฟฟ้า ซึ่งปัจจุบันได้ดำเนินการติดตั้งระบบเดินรถไฟฟ้าในเส้นทางสายสีเขียว ช่วงแบริ่ง-สมุทรปราการ โดยเริ่มจากสถานีแบริ่ง (E14) ถึงสถานีสำโรง (E15) แล้วเสร็จ และอยู่ระหว่างการทดลองเดินรถเสมือนจริง เพื่อทดสอบระบบการเดินรถ ตั้งแต่วันที่ 15 มีนาคม 2560 ถึงวันที่ 2 เมยายน 2560
2.กรุงเทพมหานครได้กำหนดที่จะเปิดให้บริการเดินรถไฟฟ้าสายสีเขียว ช่วงแบริ่ง-สมุทรปราการ จำนวน 1 สถานี คือ สถานีสำโรง (E15) ในวันจันทร์ที่ 3 เมษายน 2560 เพื่อให้เป็นไปตามมติคณะกรรมการจัดระบบการจราจรทางบก (คจร.) ครั้งที่ 1/2560 เมื่อวันที่ 9 กุมภาพันธ์ 2560
3.กรุงเทพมหานคร ได้มีหนังสือ ด่วนที่สุด ที่ กท 1605/216 ลงวันที่ 17 มีนาคม 2560 และมีหนังสือด่วนที่สุด ที่ กท 1605/586 ลงวันที่ 17 มีนาคม 2560 โดยได้เรียนเชิญนายกรัฐมนตรีเป็นประธานเปิดการเดินไฟฟ้าสายสีเขียว ดังกล่าว พร้อมทั้งเรียนเชิญ รองนายกรัฐมนตรี (พลเอก ประวิตร วงษ์สุวรรณ) และรองนายกรัฐมนตรี (นายวิษณุ เครืองาม) และรัฐมนตรีว่าการกระทรวงมหาดไทย เข้าร่วมการเปิดเดินรถไฟฟ้าสายสีเขียว ดังกล่าวด้วย
4.บริษัท กรุงเทพธนาคม จำกัด ได้มีหนังสือ ที่ กธ 01/ร 735 ลงวันที่ 29 มีนาคม 2560 เรียนผู้อำนวยการสำนักการจราจรและขนส่ง เพื่อขอความเห็นชอบวงเงินค่าใช้จ่ายให้บริการเดินรถและช่อมบำรุงโครงการรถฟฟ้าสายสีเขียว ช่วงหมอชิต-สะพานใหม่-คูคต และช่วงแบริ่ง-สมุทรปราการ
โดยบริษัทฯ แจ้งว่า ได้ดำเนินการสรรหาผู้ให้บริการเดินรถและซ่อมบำรุง ผู้เดินรถ โดย ‘ผู้เดินรถ’ ได้เสนอค่าใช้จ่ายในการให้บริการเดินรถและซ่อมบำรุงเป็นจำนวนเงิน 189,110.44 ล้านบาท (หนึ่งแสนแปดหมื่นเก้าพันหนึ่งร้อยสิบล้านสี่แสนสี่หมื่นบาทถ้วน)
บริษัทฯ ได้ว่าจ้างสถาบันบัณฑิตบริหารธุรกิจศศินทร์แห่งจุฬาลงกรณ์มหาวิทยาลัย และปริษัท พีบีเอเชีย จำกัดเป็นที่ปรึกษาประเมินข้อเสนอการให้บริการเดินรถและซ่อมบำรุงดังกล่าว โดยได้นำเงื่อนไขแสะหลักเกณฑ์ วิธีการ และเงื่อนไขของสัญญาจ้างเดินรถและซ่อมบำรุง โครงการบริหารจัดการระบบขนส่งมวลชนกรุงเทพมหานคร (30 ปี)
และมาตรฐานข้อกำหนดของสำนักงานบริหารหนี้สาธารณะ เป็นแนวทางในการพิจารณาประเมินข้อเสนอการให้บริการเดินรถและซ่อมบำรุงตังกล่าวตามที่กำหนดไว้ในบันทึกข้อตกลงมอบหมาย
บริษัทฯ จึงได้เจรจาต่อรองราคาและผ่านคณะกรรมการพิจารณาต่อรองราคาจนต่ำกว่ามาตรฐานข้อกำหนดของสำนักงานบริหารหนี้สาธารณะ กระทรวงการคลัง และเกณฑ์อัตราค่าจ้างต่อหน่วยของโครงการระบบขนส่งมวลชนกรุงเทพมหานคร (30 ปี) และนำเสนอต่อที่ประชุมคณะกรรมการบริษัทฯ ครั้งที่ 5/2560 เมื่อวันที่ 28 มีนาคม 2560
โดยคณะกรรมการบริษัทฯ มีมติอนุมัติค่าใช้จ่ายในวงเงิน 161,097.64 ล้านบาท (หนึ่งแสนหกหมื่นหนึ่งพันเก้าสิบเจ็ดล้านหกแสนสี่หมื่นบาทถ้วน) และเนื่องจากโครงการดังกล่าวเป็นโครงการที่มีระยะเวลายาวถึง 25 ปี จึงทำให้มีวงเงินค่าใช้จ่ายที่สูงมาก และเป็นค่าใช้จ่ายที่ต้องเบิกจากค่าโดยสาร ซึ่งจะผูกพันกรุงเทพมหานครและบริษัทฯ ในระยะยาว
บริษัทฯ จึงใคร่ขอความเห็นชอบจากกรุงเทพมหานครในวงเงินค่าใช้จ่ายในการให้บริการเดินรถและช่อมบำรุงฯ ตามมติของคณะกรรมการบริษัทฯ รายละเอียดตามหนังสือที่แนบ” หนังสือบันทึกข้อความด่วนที่สุด ที่ กท 1605/489 ลงวันที่ 29 มี.ค.2560 เรื่อง ขอความเห็นชอบวงเงินค่าใช้จ่ายให้บริการเดินรถและซ่อมบำรุง โครงการรถไฟฟ้าสายสีเขียว ช่วงหมอชิต-สะพานใหม่-คูคต และช่วงแบริ่ง-สมุทรปราการ ลงนามโดย สุธน อาณากุล รองผู้อำนวยการสำนักการจราจรและขนส่ง รักษาราชการแทนผู้อำนวยการสำนักการจราจรและขนส่ง ระบุ (ดูเอกสารประกอบ)

(ที่มา : กรุงเทพมหานคร)
@รองผู้ว่าฯรายงาน ‘สภากรุงเทพฯ’ เผย ‘เคที’ เจรจาลดค่าจ้างเดินได้ 33%
นอกจากนี้ ในการประชุมสภากรุงเทพมหานคร สมัยประชุมสามัญ สมัยที่ 2 (ครั้งที่ 1 ) ประจำปี พ.ศ.2560 เมื่อวันที่ 5 เม.ย.2560 ณ ห้องประชุมสภากรุงเทพมหานคร ทวีศักดิ์ เลิศประพันธ์ รองผู้ว่าฯกทม. (ขณะนั้น) ได้รายงานความคืบหน้าโครงการรถไฟฟ้าสายสีเขียว ส่วนต่อขยาย ช่วงหมอชิต-สะพานใหม่-คูคต และช่วงแบริ่ง-สมุทรปราการ ให้ สภากรุงเทพมหานคร รับทราบ
โดย ทวีศักดิ์ กล่างตอนหนึ่งว่า “กรุงเทพมหานครขอรายงานถึงสถานภาพในปัจจุบัน ซึ่งท่านผู้ว่าราชการกรุงเทพมหานครได้มีหนังสือ เมื่อวันที่ 20 มีนาคม 2560 กราบเรียนท่านรัฐมนตรีว่าการกระทรวงมหาดไทย เพื่อพิจารณานำเสนอคณะรัฐมนตรี พิจารณาให้การสนับสนุนงบประมาณทางด้านการลงทุนโครงสร้างพื้นฐานของโครงการรถไฟฟ้าสายสีเขียวที่มี 2 ช่วง ช่วงหมอชิต-สะพานใหม่-คูคต ในวงเงินทั้งสิ้น 39,730.25 ล้านบาทนะครับ
แล้วก็ในส่วนของรถไฟฟ้าสายสีเขียว ช่วงแบริ่ง-สมุทรปราการ ในวงเงิน 21,087.47 ล้านบาท รวม 2 สายด้วยกัน เป็นวงเงินทั้งสิ้น 60,817.72 ล้านบาท ให้กับกรุงเทพมหานคร
ในส่วนของการดำเนินการติดตั้งระบบการเดินรถไฟฟ้าของสายสีเขียว ส่วนต่อขยายทั้ง 2 ส่วน ในวงเงินทั้งสิ้น 19,358 ล้านบาท กรุงเทพมหานครได้มอบให้กรุงเทพธนาคมเป็นผู้บริหารจัดการการเดินรถและการติดตั้งระบบอาณัติสัญญาณในเส้นทางของสายสีเขียวทั้ง 2 ส่วน
ซึ่งปัจจุบันทางกรุงเทพธนาคมได้ติดตั้งในส่วนของสีเขียวใต้ ช่วงแบริ่ง-สมุทรปราการ นี่เริ่มติดตั้งบางส่วนไปตั้งแต่วันที่ 1 กรกฎาคม 2559 เป็นต้นมา แล้วก็ได้มีการดำเนินการทดสอบระบบการเดินรถสมือนจริง ในช่วงสถานีแบริ่งกับสำโรงเมื่อวันที่ 15 มีนาคม 2560 จบถึงวันที่ 2 เมษายน 2560 นะครับ
สำหรับการเดินรถกรุงเทพธนาคม ได้ดำเนินการสรรหาผู้บริการเดินรถและซ่อมบำรุง ก็คือผู้เดินรถนะครับ โดยผู้เดินรถ ได้เสนอราคาค่าใช้จ่ายในการดำเนินการเดินรถและซ่อมบำรุงเป็นจำนวนเงินทั้งสิ้น 189,110 ล้านบาท แล้วก็กรุงเทพธนาคมได้ต่อรอง ต่อรองลงมาเหลือราคาทั้งสิ้น 161,698.51 ล้านบาท
ก็ลดลงไปทั้งสิ้น 23,411 ล้านบาทเศษนะครับ ซึ่งเป็นราคาที่ต่ำกว่าราคามาตรฐานที่กำหนดโดย สำนักงานบริหารหนี้สาธารณะอยู่ประมาณสัก 33 เปอร์เซ็นต์ แล้วก็เป็นเกณฑ์ต่อหน่วยที่ยังถูกกว่าราคาที่จ้างเดิมไปแล้วนะครับ แล้วก็ยังเป็นราคาที่ถูกกว่าของตัวระบบขนส่งมวลชนในภาพรวมที่ได้เกิดขึ้นในประเทศไทยหรือในกรุงเทพมหานครที่เราเห็นอยู่นะครับ…” (ดูเอกสารประกอบ)

(ที่มา : บันทึกรายงานการประชุมสภากรุงเทพมหานคร สมัยประชุมสามัญ สมัยที่ 2 (ครั้งที่) ประจำปี พ.ศ.2560 เมื่อวันที่ 5 เม.ย.2560)
(คณะกรรมการและผู้บริหาร บริษัท กรุงเทพธนาคม จำกัด นำโดย ธงทอง จันทรางศุ ประธานบอร์ด KT หารือกับผู้บริหาร BTSC เมื่อวันที่ 18 ก.ค.2565)
เหล่านี้เป็นข้อมูลเกี่ยวกับ ‘วงเงินค่าจ้าง’ ให้บริการเดินและซ่อมบำรุงรถไฟฟ้า 'สายสีเขียว' ส่วนต่อขยาย ทั้ง 2 ช่วง ที่ บริษัท กรุงเทพธนาคม จำกัด ว่าจ้าง BTSC เป็นผู้ดำเนินการ ก่อนที่บริษัท กรุงเทพธนาคม จำกัด จะมีการหารือกับ BTSC เพื่อขอทบทวนค่าจ้าง เมื่อวันที่ 18 ก.ค.ที่ผ่านมา
“ตัวเลขที่ทำไว้เมื่อ 10 ปี มีอะไรที่เปลี่ยนแปลงไปบ้างหรือไม่ และมีข้อมูลอะไรที่ต้องปรับเป็นปัจจุบัน เช่น กรณีค่าโฆษณาที่ได้จากการติดตั้งบริเวณๆรอบๆขบวนรถไฟฟ้า ซึ่งไม่เคยมีการหารือในสัญญาจ้างเดินรถใดๆมาก่อน หากนำเรื่องนี้มาศึกษาจริงจัง จะมีนัยยะอะไรบ้าง หรือพฤติกรรมการใช้งานสถานี และวิธีการชำระเงิน
หากมีข้อมูลอะไรที่กระทบสัญญา จะต้องมีการพูดคุยเพื่อปรับสัญญา” ธงทอง กล่าวภายหลังการหารือกับ BTSC กรณีทบทวนสัญญาค่าจ้างเดินรถไฟฟ้าสายสีเขียว ส่วนต่อขยาย เมื่อวันที่ 18 ก.ค.2565 พร้อมทั้งมีการตั้งคณะทำงานขึ้นมาศึกษาเรื่องนี้ด้วย (อ่านประกอบ : ตั้งคณะทำงาน ‘สายสีเขียว’ เลื่อนเก็บค่าโดยสารส่วน 2 อีก 1 เดือน)
จึงต้องติดตามกันต่อไปว่า ผลการเจรจาระหว่าง กรุงเทพธนาคม (KT) และ BTC ผู้รับจ้างเดินรถไฟฟ้าบีทีเอส จะได้ข้อสรุปอย่างไร
อ่านประกอบ :
ตั้งคณะทำงาน ‘สายสีเขียว’ เลื่อนเก็บค่าโดยสารส่วน 2 อีก 1 เดือน
ISRA WHY? : ‘ธงทอง จันทรางศุ’แม่ทัพ'กรุงเทพธนาคม'ภารกิจสุดขอบฟ้า ล้างหลุมดำ กทม.
แก้จ้างเดินรถ BTS ชัดเจนปีนี้ ‘ธงทอง’เคลียร์ส่วนต่อขยาย 1-2
ต้องไม่เกิน 44 บาท! ‘สภาองค์กรผู้บริโภคฯ’ค้าน‘กทม.’เก็บค่าตั๋วรถไฟฟ้าสายสีเขียว 59 บาท
เปิดหนังสือลับ'ศักดิ์สยาม' ค้านรอบที่ 8 ต่อสัญญาสายสีเขียว ก่อนสัญญาณแตกหัก'บิ๊กตู่'?
เปิดหนังสือ'อนุทิน'ค้าน ครม.ต่อสัมปทานรถไฟฟ้าสายสีเขียว'ศักดิ์สยาม'ติดภารกิจ ขอลาประชุม
สะพัด! 7 รัฐมนตรี'ภูมิใจไทย'ยื่นลาประชุม ครม.ปมขยายสัมปทานรถไฟสายสีเขียว
เบื้องหลัง!'คมนาคม'งัด 2 ปม สกัดต่อสัมปทานสายสีเขียว-'ศักดิ์สยาม’ปัดขัดแย้งเจ้าสัว BTS
'วิษณุ' แจง 'อนุพงษ์' ถอนวาระต่ออายุรถไฟฟ้าสายสีเขียว เหตุ 'คมนาคม'
‘สภาผู้บริโภคฯ’ ค้าน ครม. ลักไก่ต่อสัมปทาน ‘สายสีเขียว’-แจงตั๋ว 25 บาทเป็นไปได้
'มูลนิธิผู้บริโภคฯ-ปชช.' ชูป้ายค้านต่อสัมปทาน 'สายสีเขียว'-ชงตั๋วร่วม 25 บาท/เที่ยว
ค่าก่อสร้างแพงกว่าสายสีเขียว 3 เท่า! รฟม.ยันค่าโดยสารรถไฟฟ้า'MRT' 4 สาย เหมาะสมแล้ว
'สภาฯผู้บริโภค' ยื่นหนังสือถึง 'ครม.' ค้านต่อสัมปทาน 'สายสีเขียว'-เปิดปชช.มีส่วนร่วม
แบกหนี้ไม่ไหว! ‘บีทีเอส’ ร่อนจม.แจงปัญหา ‘สายสีเขียว’-'สภาผู้บริโภคฯ'ค้านต่อสัมปทาน
'สายสีเขียว' ต่อคิวเข้าครม.! ‘บิ๊กตู่’ ย้ำค่าโดยสารต้องไม่สูงเกินไป-ขอบีทีเอสร่วมมือ

Isranews Agency | สำนักข่าวอิศรา